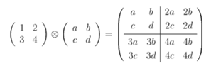
Pela regra mostrada na figura, cada número da matriz A
multiplica todos os números da matriz B, formando um
mosaico 4×4. Considere A = [[1, 2], [3, 4]] e B = [[a, b], [c, d]].
Seja S = a + b + c + d. Qual é a soma de todos os 16 números
do mosaico A ⊗ B?


Provas
Questão presente nas seguintes provas
Analista Legislativo
40 Questões
Contador Legislativo
40 Questões
Técnico - Controle Interno
40 Questões