Magna Concursos
3603275 Ano: 2025
Disciplina: Matemática
Banca: CETREDE
Orgão: Pref. São Benedito-CE
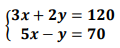
Rafael, um economista, está analisando o sistema de equações que modela o equilíbrio de mercado entre a oferta e a demanda de dois produtos em uma empresa de calçados. O sistema é dado por

Enunciado 4243859-1

Considerando que x e y representam as quantidades dos produtos, quais são, respectivamente, as quantidades de equilíbrio?
 

Provas

Questão presente nas seguintes provas

Professor da Educação Básica - Matemática

60 Questões