Magna Concursos
3840332 Ano: 2025
Disciplina: Matemática
Banca: Funatec
Orgão: Pref. Jenipapo Vieiras-MA
Provas:

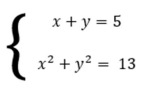
Considere o sistema de equações no conjunto dos números reais:

Enunciado 4826868-1

Assinale corretamente o valor do produto Enunciado 4826868-2

 

Provas

Questão presente nas seguintes provas

Professor - Matemática

40 Questões