Magna Concursos
3850258 Ano: 2024
Disciplina: Farmácia
Banca: Itame
Orgão: Pref. Monte Alegre Goiás-GO
Provas:

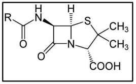
Observe atentamente a estrutura abaixo:

Enunciado 4833810-1

A imagem ilustra a estrutura geral de qual classe de antibacteriano?

 

Provas

Questão presente nas seguintes provas

Farmacêutico

40 Questões