O método do caminho crítico refere-se a um conjunto de técnicas utilizadas para o planejamento e o
controle de projetos, obras e serviços.
Assim, analise a figura:
As letras representam as atividades a serem realizadas e os números, o tempo necessário para execução das mesmas (em semanas).
Com base nessas informações, é correto afirmar que o caminho crítico está identificado no percurso do caminho:
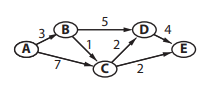
Assim, analise a figura:
As letras representam as atividades a serem realizadas e os números, o tempo necessário para execução das mesmas (em semanas).
Com base nessas informações, é correto afirmar que o caminho crítico está identificado no percurso do caminho: