Magna Concursos
3938755 Ano: 2025
Disciplina: Matemática
Banca: Avança SP
Orgão: Pref. Varginha-MG
Provas:

Seja Enunciado 4778134-1

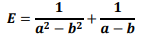
Considere a expressão:

Enunciado 4778134-2

Determine o valor exato de E.

 

Provas

Questão presente nas seguintes provas

Técnico de Laboratório

40 Questões