Magna Concursos
3980312 Ano: 2025
Disciplina: Matemática
Banca: SELECON
Orgão: CEFET-RJ
Provas:
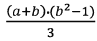
Se  a = 3 e b = – 4, o valor da expressão Enunciado 4916127-1  igual a:
 

Provas

Questão presente nas seguintes provas

Curso Técnico Subsequente

20 Questões