Magna Concursos
3673122 Ano: 2025
Disciplina: Matemática
Banca: IBADE
Orgão: Univesp
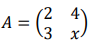
Em um laboratório de engenharia, os pesquisadores estão desenvolvendo um sistema para analisar estruturas de construção por meio de matrizes matemáticas. Uma das análises envolve o cálculo do determinante de uma matriz associada a um modelo estrutural.
A matriz utilizada na análise é:

Enunciado 4368542-1

Sabendo que o determinante dessa matriz é 2, qual é o valor de x necessário para garantir a estabilidade do modelo?
 

Provas

Questão presente nas seguintes provas

Técnico - Suporte de Informática

50 Questões