Magna Concursos
3946257 Ano: 2025
Disciplina: Matemática
Banca: FUNDATEC
Orgão: Pref. Estância Velha-RS
Provas:

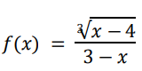
Assinale a alternativa que indica o intervalo correspondente ao domínio da função abaixo:

Enunciado 4888743-1

 

Provas

Questão presente nas seguintes provas

Professor - Matemática

60 Questões