Magna Concursos
3916340 Ano: 2025
Disciplina: Matemática
Banca: UEPB
Orgão: Pref. Mataraca-PB
Provas:

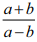
Sejam os valores definidos pelos produtos notáveis:

Enunciado 4869963-1

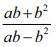
Com base nesses valores, é CORRETO afirmar que o valor da expressão:

Enunciado 4869963-2

É de:

 

Provas

Questão presente nas seguintes provas

Professor - Matemática

40 Questões