Magna Concursos
3947743 Ano: 2025
Disciplina: Matemática
Banca: INDEC
Orgão: Pref. Araras-SP
Provas:
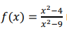
A função Enunciado 4804152-1representa, em um modelo de negócios, o lucro por unidade vendida de um produto em relação a um fator de custo x. A única restrição para o valor de é que o denominador da função não seja nulo. O domínio desta função, em que é um número real, é o conjunto de todos os números reais, exceto os valores:
 

Provas

Questão presente nas seguintes provas

Contador

40 Questões