Magna Concursos
3830973 Ano: 2025
Disciplina: Matemática
Banca: CL Consultoria
Orgão: Pref. Santa Inês-MA

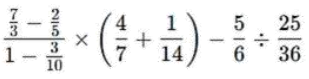
Simplifique e calcule o valor da expressão abaixo:

Enunciado 4798863-1

 

Provas

Questão presente nas seguintes provas

Agente de Combate às Endemias

40 Questões