Magna Concursos
4055953 Ano: 2026
Disciplina: Matemática
Banca: URCA
Orgão: Pref. Assaré-CE
Provas:
Considere as funções f, g e h definidas abaixo, com seus respectivos domínios e contradomínios. 

I. f: Enunciado 4528622-1 → Enunciado 4528622-2, tal que:
                                                                                    Enunciado 4528622-3


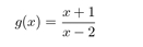
II. g: Enunciado 4528622-4 \ {2} → Enunciado 4528622-5\ {1}, definida pela lei:  

Enunciado 4528622-6


III. h: Enunciado 4528622-7 → Enunciado 4528622-8, definida por:
h (x) = sen (x)


Em relação aos domínios e contradomínios indicados, assinale a alternativa correta.
 

Provas

Questão presente nas seguintes provas

Professor - Matemática

50 Questões