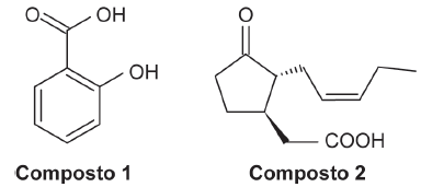
Os pesticidas naturais vêm sendo utilizados no controle de pragas e doenças agrícolas como substituintes de pesticidas sintéticos tradicionais, por serem menos nocivos ao ambiente, biodegradáveis e minimizarem custos e riscos relativos à lavoura. Por exemplo, os compostos 1 e 2 estão envolvidos nas respostas de defesa das plantas. Os grupos funcionais presentes nesses compostos são importantes para suas propriedades no controle de pragas.

PINTO-ZEVALLOS, D. M.; ZARBIN, P. H. G. A química na agricultura: perspectivas para o desenvolvimento de tecnologias sustentáveis. Química Nova, n. 10, 2013 (adaptado).
Qual é a função orgânica correspondente ao grupo funcional comum presente nesses dois compostos?