Magna Concursos
4045706 Ano: 2026
Disciplina: Matemática
Banca: FGV
Orgão: IBGE

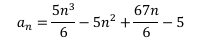
O termo geral de uma sequência é dado por:

Enunciado 4987359-1

O termo a₄ dessa sequência é

 

Provas

Questão presente nas seguintes provas

Agente de Pesquisas e Mapeamento

60 Questões