O processo de relacionar aritmética, álgebra e geometria, iniciado por al-Khwārizmī e Abū Kāmil, continuou no mundo islâmico com o trabalho de Abū Bakr al-Karajī (falecido em 1019), que usou tal processo para provar que o resultado da soma de cubos, até 10, é igual ao quadrado da soma de 1 a 10, como mostra a expressão:
13 + 23 + 33 + . . . + 103 = (1 + 2 + 3 + . . . + 10)2
Para fazer a prova, ele usou um quadrado ABCD, como na figura, com medida do lado igual à soma: (1 + 2 + 3 + . . . + 10). Dentro dele, configurou os quadrados menores: o primeiro (AB1C1D1), com lado igual a 1, o segundo (AB2C2D2), com lado igual a (1+2), e assim por diante, até o quadrado AB9C9D9. Assim, para calcular a área de ABCD, ele completou o quadrado AB9C9D9 com a área do gnômon*, o polígono B9C9D9DCB, destacado na figura. Desse modo, em um processo muito parecido com a indução matemática, ele provou a expressão anterior.
*gnômon: uma figura que, quando adicionada a um quadrado ou retângulo, forma um quadrado maior.
KATZ, Victor J. A history of mathematics: An introduction. 3.ed. Person Education: Chicago, 1998. [Adaptado].
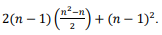
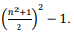
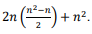
Com base nessas informações, considere um processo similar ao realizado por Al-Karajī, porém, a partir de um quadrado com lado medindo: 1 + 2 + 3 + . . . +(n − 1) + n, com n ∈ N, n > 1. Nesse caso, a expressão que representa a área do gnômon é dada por
13 + 23 + 33 + . . . + 103 = (1 + 2 + 3 + . . . + 10)2
Para fazer a prova, ele usou um quadrado ABCD, como na figura, com medida do lado igual à soma: (1 + 2 + 3 + . . . + 10). Dentro dele, configurou os quadrados menores: o primeiro (AB1C1D1), com lado igual a 1, o segundo (AB2C2D2), com lado igual a (1+2), e assim por diante, até o quadrado AB9C9D9. Assim, para calcular a área de ABCD, ele completou o quadrado AB9C9D9 com a área do gnômon*, o polígono B9C9D9DCB, destacado na figura. Desse modo, em um processo muito parecido com a indução matemática, ele provou a expressão anterior.
*gnômon: uma figura que, quando adicionada a um quadrado ou retângulo, forma um quadrado maior.
KATZ, Victor J. A history of mathematics: An introduction. 3.ed. Person Education: Chicago, 1998. [Adaptado].
Com base nessas informações, considere um processo similar ao realizado por Al-Karajī, porém, a partir de um quadrado com lado medindo: 1 + 2 + 3 + . . . +(n − 1) + n, com n ∈ N, n > 1. Nesse caso, a expressão que representa a área do gnômon é dada por
Provas
Questão presente nas seguintes provas
Agente de Serviços de Tesouraria
40 Questões
Analista de TI
40 Questões
Contador
40 Questões
Controlador Interno
39 Questões
Gestor de Pessoal
40 Questões
Procurador Jurídico
40 Questões