Dizemos que dois números positivos y > x estão em razão áurea se eles satisfazem as relações

Além disso, temos também que y / x = β, onde β é uma constante chamada de razão áurea. Calculando a constante β a partir das relações, ela será igual a:
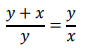
Dizemos que dois números positivos y > x estão em razão áurea se eles satisfazem as relações

Além disso, temos também que y / x = β, onde β é uma constante chamada de razão áurea. Calculando a constante β a partir das relações, ela será igual a: