Magna Concursos
3626105 Ano: 2025
Disciplina: Biologia
Banca: VUNESP
Orgão: Pref. Sertãozinho-SP
Provas:

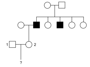
A cegueira para as cores vermelho e verde é uma característica ligada ao sexo nos seres humanos. O alelo mutante da cegueira para as cores vermelho e verde é expresso como uma característica recessiva ligada ao cromossomo X.

O heredograma a seguir representa essa herança genética em uma família, na qual os indivíduos diferenciados com a cor preta apresentam a anomalia citada.

Enunciado 4296194-1

A probabilidade do casal 1 x 2 ter um menino com a anomalia é:

 

Provas

Questão presente nas seguintes provas

Professor - Ciências

50 Questões