O estudo da biodisponibilidade por via oral é um parâmetro importante na farmacocinética não clínica. É importante que
sejam utilizadas as mesmas espécies/linhagens usadas em outros ensaios, como, por exemplo, no ensaio de potência.
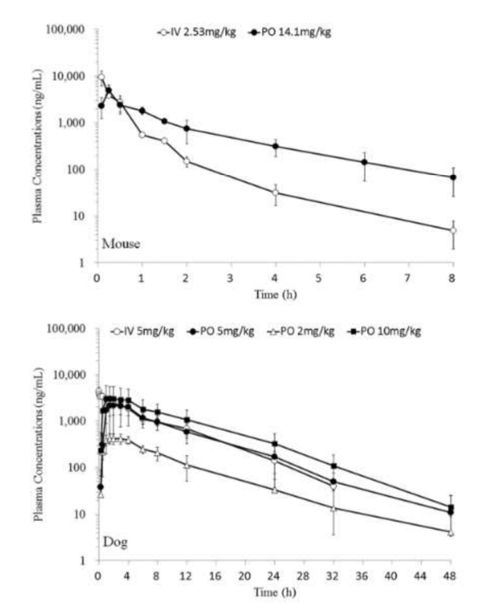
Abaixo são mostradas as curvas de biodisponibilidade oral (PO) de um candidato a fármaco, em camundongos (superior)
e em cães (inferior). A biodisponibilidade por via endovenosa (IV) também foi determinada.

Observando esses resultados pode-se concluir que:

Observando esses resultados pode-se concluir que:
Provas
Questão presente nas seguintes provas