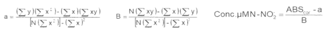
Foram preparados cinco padrões de nitrito dissolvido (N-NO2-) e uma prova em branco. Suas absorbâncias foram lidas utilizando uma cubeta com trajeto óptico (TO) de 50 mm, em um espectrofotômetro na faixa da luz visível, e apresentadas na tabela abaixo (curva de calibração). Ao analisar uma amostra de água da Área de Proteção Ambiental da Lagoa Verde, obteve-se uma absorbância de 0,284. Dessa forma, ao utilizar as fórmulas abaixo, a concentração em µM de N-NO2- na amostra da água analisada é:
Curva de calibração

Fórmulas

Em que:
x= concentração dos padrões.
y= absorbância dos padrões.
N= Número de padrões mais a prova em branco