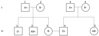
O heredograma abaixo indica os fenótipos dos tipos
sanguíneos do sistema ABO e fator Rh da família
I – Se o casal I.3 e I.4 vier a ter mais uma criança, a probabilidade dela vier a sofrer eritroblastose fetal será de 50%.
II – O único indivíduo que não possui doadores neste grupo é o II.1
III – E m uma hipotética gestação resultante de um cruzamento da mulher indicada em II.3 e do homem II.4, a probabilidade de nascer uma menina doadora para o avô paterno é de 25%.
IV – Somente o indivíduo II.2 possui genótipo homozigoto dominante para os dois genes envolvidos no heredograma.
Das sentenças acima, as verdadeiras são:
I – Se o casal I.3 e I.4 vier a ter mais uma criança, a probabilidade dela vier a sofrer eritroblastose fetal será de 50%.
II – O único indivíduo que não possui doadores neste grupo é o II.1
III – E m uma hipotética gestação resultante de um cruzamento da mulher indicada em II.3 e do homem II.4, a probabilidade de nascer uma menina doadora para o avô paterno é de 25%.
IV – Somente o indivíduo II.2 possui genótipo homozigoto dominante para os dois genes envolvidos no heredograma.
Das sentenças acima, as verdadeiras são: