Magna Concursos
3811948 Ano: 2024
Disciplina: Matemática
Banca: FUNDATEC
Orgão: UERGS
Provas:

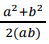
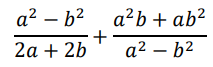
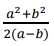
Assinale a alternativa que apresenta a expressão equivalente a:

Enunciado 4605693-1

 

Provas

Questão presente nas seguintes provas

Arquiteto

40 Questões

Bibliotecário

40 Questões

Engenheiro Civil

40 Questões