Magna Concursos
3774182 Ano: 2024
Disciplina: Matemática
Banca: IF-MG
Orgão: IF-MG

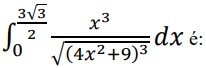
O valor da integral definida Enunciado 4583563-1

 

Provas

Questão presente nas seguintes provas

Professor PEBTT - Matemática

30 Questões