Magna Concursos
3697584 Ano: 2025
Disciplina: Engenharia Civil
Banca: VUNESP
Orgão: Pref. Campinas-SP
Provas:
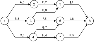
O planejamento da reforma de uma loja comercial seguiu o cronograma PERT-CPM da figura a seguir, no qual as atividades estão representadas por letras, seguidas de suas durações em dias:

Enunciado 4380061-1

O prazo de conclusão da reforma é de
 

Provas

Questão presente nas seguintes provas

Engenheiro Civil

50 Questões