Magna Concursos
3909138 Ano: 2025
Disciplina: Engenharia Civil
Banca: FGV
Orgão: AgSUS
Provas:
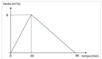
A figura a seguir mostra um hidrograma das vazões na seção de uma galeria, em decorrência da drenagem das águas provenientes de uma forte chuva.

Enunciado 4867600-1

O volume total de água que passou por essa seção durante a chuva, em Dm3 , foi de
 

Provas

Questão presente nas seguintes provas

Engenheiro Civil

70 Questões