Magna Concursos
3991450 Ano: 2025
Disciplina: Raciocínio Lógico
Banca: UECE
Orgão: Pref. Tauá-CE
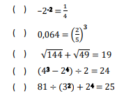
Considere os seguintes itens e assinale com V o que for verdadeiro e com F o que for falso. 

Enunciado 4485621-1

A sequência correta, de cima para baixo, é:
 

Provas

Questão presente nas seguintes provas