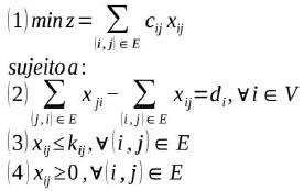
Seja o Problema de Fluxo a Custo Mínimo (PFCM), em que xij decide o fluxo no arco (i, j) da rede subjacente, descrita por um grafo G= (V,E). Neste problema, cij é o custo de transporte por unidade de fluxo no arco (i, j) e kij é a capacidade máxima de transporte do arco (i, j). Escrevendo o PFCM a seguir como um modelo de programação matemática, tem-se:

Denominando os preços duais das restrições (2) de ui para cada vértice i do grafo, e os preços duais das restrições (3) de vij para cada arco (i, j), pode-se afirmar que a forma geral das inequações duais associadas a esse problema, seria dada por: