O balanço de nêutrons em um sistema reator considera os
processos de escape, absorção e produção de nêutrons. A equação
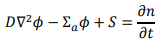
derivada desse balanço é a chamada equação de difusão de
nêutrons. Nela, a taxa da densidade de nêutrons n depende das
taxas desses processos por unidade de volume do sistema, ou seja,
onde ϕ é o fluxo de nêutrons, D é o coeficiente de difusão, ∑α é a seção de choque macroscópica de absorção, e S é o termo de fonte.
Considerando um sistema em regime estacionário e de tamanho infinito, a equação de difusão torna-se
onde ϕ é o fluxo de nêutrons, D é o coeficiente de difusão, ∑α é a seção de choque macroscópica de absorção, e S é o termo de fonte.
Considerando um sistema em regime estacionário e de tamanho infinito, a equação de difusão torna-se