Magna Concursos
3864264 Ano: 2024
Disciplina: Física
Banca: Avança SP
Orgão: Pref. Caçapava-SP
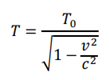
Na teoria da relatividade restrita, um observador que se move com velocidade v em relação a outro dito em repouso, observa um evento com duração temporal de T0, enquanto o observador em repouso observa este mesmo evento com duração temporal de T. Ambas as durações estão ligadas pela expressão:

Enunciado 4842936-1

Onde c é a velocidade da luz. Com base na expressão dada, é correto afirmar que:
 

Provas

Questão presente nas seguintes provas

Professor Substituto - Matemática

50 Questões