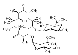
A eritromicina é um antibiótico macrolídeo amplamente
utilizado no tratamento de infecções bacterianas que tem sido
estudado em análises ambientais devido à sua presença como
contaminante emergente em corpos d’água. Considerando a
sua estrutura química, apresentada a seguir, a massa molar da
eritromicina é:
Dados: C = 12 g mol–1 ; H = 1 g mol–1 ; N = 14 g mol–1 ; O = 16 g mol–1 .

Dados: C = 12 g mol–1 ; H = 1 g mol–1 ; N = 14 g mol–1 ; O = 16 g mol–1 .
