Magna Concursos
3864473 Ano: 2024
Disciplina: Matemática
Banca: Avança SP
Orgão: Pref. Caçapava-SP
Provas:
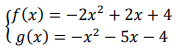
Considere as duas funções do 2º grau: 

Enunciado 4843145-1

As duas parábolas acima se cruzam em dois pontos: um deles possui uma abcissa positiva e o outro uma abcissa negativa. Qual o valor da ordenada do ponto de abcissa negativa?
 

Provas

Questão presente nas seguintes provas

Professor - Matemática

50 Questões