Considere o seguinte sistema linear:

Ao aplicar as técnicas de solução de sistemas desse tipo, é possível concluir corretamente que esse sistema é:
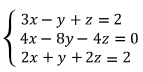
Considere o seguinte sistema linear:

Ao aplicar as técnicas de solução de sistemas desse tipo, é possível concluir corretamente que esse sistema é: