Foram encontradas 347 questões.
Considere as quatro substâncias abaixo:
I – etilamina II – etilmetilamina
III – amônia IV – água
A ordem decrescente de basicidade dessas substâncias é:
Provas

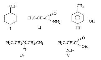
Aquelas que pertencem, respectivamente, às funções fenol e amina são:
Provas
Em relação à manutenção e à conservação de documentos, é INCORRETO afirmar que:
Provas
Em relação à limpeza e à remoção de manchas, é INCORRETO afirmar que:
Provas
Em relação aos diversos métodos não aquosos de desacidificação, é correto afirmar que:
Provas
Em relação aos diversos métodos aquosos de desacidificação, é correto afirmar que:
Provas
A seguir são feitas algumas afirmativas sobre a desacidificação, que é o procedimento a ser adotado para aumentar a sobrevida de papéis:
I - A desacidificação é a neutralização da acidez presente no papel através de deposição de reserva alcalina.
II - A eficácia dos métodos de desacidificação depende somente da concentração dos agentes desacidificantes.
III - A eficácia dos métodos de desacidificação é independente da natureza química do processo de obtenção do papel.
As afirmativas verdadeiras são somente:
Provas
Provas
Em relação à medida do pH superficial do papel, é INCORRETO afirmar que:
Provas
As afirmativas a seguir se referem às recomendações técnicas gerais que têm a finalidade de evitar problemas com a conservação de documentos:
I - Evitar encapar livros com papel de natureza ácida, pois este tipo de papel transmite seu teor ácido para os materiais que estiver envolvendo.
II - Evitar usar grampos e clips metálicos, pois estes materiais oxidam o papel com o decorrer do tempo.
III - Não encostar as estantes nas paredes de modo a evitar que a umidade presente nas paredes se transmita aos volumes.
As afirmativas verdadeiras são somente:
Provas
Caderno Container