Foram encontradas 256 questões.
A imagem abaixo mostra uma planilha feita no Excel 2016 (em sua versão em português
e nas configurações padrão), com alguns dados inseridos.
Na célula B13 foi inserida a fórmula =CONT.NÚM(B2:B11)
Qual o resultado apareceu na célula B13 após a célula ser inserida?
Na célula B13 foi inserida a fórmula =CONT.NÚM(B2:B11)
Qual o resultado apareceu na célula B13 após a célula ser inserida?
Provas
Questão presente nas seguintes provas
O que acontece em um documento do Excel/2016 (em sua versão em português e nas
configurações padrão) quando as teclas de atalho “Ctrl” + “0” (zero) são pressionadas simultaneamente?
Provas
Questão presente nas seguintes provas
Em um plano de backup robusto e eficaz, é essencial incluir diferentes tipos de backups
e estratégias de armazenamento. Qual das seguintes afirmações sobre procedimentos de backup está
INCORRETA?
Provas
Questão presente nas seguintes provas
João é Assistente Legislativo na Câmara Municipal e precisa criar um documento oficial
utilizando o Microsoft Word 2016 (em sua versão em português e nas configurações padrão). Ele quer
saber como inserir uma tabela no documento. Qual é o procedimento correto para inserir uma tabela no
Microsoft Word 2016?
Provas
Questão presente nas seguintes provas
A figura a seguir mostra uma frase escrita no Word 2016 (em sua versão em português
e nas configurações padrão).
Observando essa frase, podemos afirmar que a palavra “vida” teve as seguintes formatações:
Observando essa frase, podemos afirmar que a palavra “vida” teve as seguintes formatações:
Provas
Questão presente nas seguintes provas
A Assessora de Comunicação Ana precisa calcular a proporção entre os diferentes
meios de comunicação usados na divulgação de uma campanha. Se ela usou 60% do orçamento em
redes sociais, 25% em mídia impressa e o restante em rádio, qual é a razão entre o valor gasto em redes
sociais e o valor gasto em rádio?
Provas
Questão presente nas seguintes provas
Em uma sessão da Câmara Municipal, o Agente Legislativo Marcos está organizando
uma votação para decidir sobre a construção de um novo centro comunitário. Ele planeja a votação em
três etapas para garantir que todos os votos sejam contabilizados corretamente. Marcos recebeu um total
de 180 votos ao final da contagem. Na primeira etapa, ele contabilizou 60 votos. Na segunda etapa, ele
contabilizou mais 70 votos. Quantos votos ele contabilizou na terceira etapa?
Provas
Questão presente nas seguintes provas
O Técnico em Contabilidade Ricardo está organizando os funcionários da Câmara em
conjuntos conforme suas habilidades. Se A = {Assistentes, Secretários} e B = {Técnicos, Motoristas},
quais são os elementos da união dos conjuntos A e B?
Provas
Questão presente nas seguintes provas
Em um triângulo PQR foi inscrito um quadrado WXYZ, com o lado WX sobre o lado PR.
Sabe-se que o lado PR mede 30 cm e a altura do triângulo relativa ao lado PR mede 20 cm. Podemos afirmar que:
Sabe-se que o lado PR mede 30 cm e a altura do triângulo relativa ao lado PR mede 20 cm. Podemos afirmar que:
Provas
Questão presente nas seguintes provas
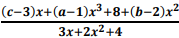
Considerando que a expressão
seja independente na variável
x, então podemos afirmar que:
Provas
Questão presente nas seguintes provas
Cadernos
Caderno Container