Magna Concursos

Foram encontradas 60 questões.

378101 Ano: 2012
Disciplina: Direito Constitucional
Banca: CONSESP
Orgão: Câm. Eldorado do Sul-RS
Provas:
A remuneração e o subsídio dos ocupantes de cargos, funções e empregos públicos da administração direta, autárquica e fundacional, dos membros de qualquer dos Poderes da União, dos Estados, do Distrito Federal e dos Municípios, dos detentores de mandato eletivo e dos demais agentes políticos e os proventos, pensões ou outra espécie remuneratória, percebidos cumulativamente ou não, incluídas as vantagens pessoais ou de qualquer outra natureza, não poderão exceder o subsídio mensal, em espécie, dos Ministros do Supremo Tribunal Federal, aplicando-se como limite, nos Municípios, o subsídio do Prefeito, e nos Estados e no Distrito Federal, o subsídio mensal do Governador no âmbito do Poder Executivo, o subsídio dos Deputados Estaduais e Distritais no âmbito do Poder Legislativo e o subsídio dos Desembargadores do Tribunal de Justiça, limitado a noventa inteiros e vinte e cinco centésimos por cento do subsídio mensal, em espécie, dos Ministros do Supremo Tribunal Federal, no âmbito do Poder Judiciário, aplicável este limite aos membros do Ministério Público, aos Procuradores e aos Defensores Públicos.

Com base na Constituição Federal, pode-se afirmar que a assertiva acima está
 

Provas

Questão presente nas seguintes provas
378100 Ano: 2012
Disciplina: Direito Constitucional
Banca: CONSESP
Orgão: Câm. Eldorado do Sul-RS
Provas:
Com base no art. 37 da Constituição Federal, aponte a alternativa correta.
 

Provas

Questão presente nas seguintes provas
378099 Ano: 2012
Disciplina: Administração Pública
Banca: CONSESP
Orgão: Câm. Eldorado do Sul-RS
Provas:
São princípios expressos da Administração Pública, exceto a
 

Provas

Questão presente nas seguintes provas
378098 Ano: 2012
Disciplina: Legislação Municipal
Banca: CONSESP
Orgão: Câm. Eldorado do Sul-RS
Provas:
De acordo com o Estatuto do Servidor Público do Município de Eldorado do Sul, a investidura em cargo do magistério municipal será por
 

Provas

Questão presente nas seguintes provas
378097 Ano: 2012
Disciplina: Legislação Municipal
Banca: CONSESP
Orgão: Câm. Eldorado do Sul-RS
Provas:
Segundo o Estatuto do Servidor Público do Município de Eldorado do Sul, a aceitação expressa das atribuições, deveres e responsabilidades inerentes ao cargo público, com o compromisso de bem servir, formalizada com a assinatura de termo pela autoridade competente e pelo compromissando, denomina-se
 

Provas

Questão presente nas seguintes provas
378096 Ano: 2012
Disciplina: Legislação Municipal
Banca: CONSESP
Orgão: Câm. Eldorado do Sul-RS
Provas:
Nos termos do Estatuto do Servidor Público do Município de Eldorado do Sul, “exercício” é o desempenho das atribuições do cargo pelo servidor. O prazo para o servidor entrar em exercício, contados da data da posse é de
 

Provas

Questão presente nas seguintes provas
378095 Ano: 2012
Disciplina: Legislação Municipal
Banca: CONSESP
Orgão: Câm. Eldorado do Sul-RS
Provas:
No Município de Eldorado do Sul, o exercício de função de confiança pelo servidor público efetivo, poderá ocorrer sob a forma de função gratificada. Os cargos em comissão serão ocupados por servidores efetivos, em percentual mínimo de
 

Provas

Questão presente nas seguintes provas
378094 Ano: 2012
Disciplina: Legislação Municipal
Banca: CONSESP
Orgão: Câm. Eldorado do Sul-RS
Provas:
No Município de Eldorado do Sul, após cada três anos de serviços prestados ao Município, o servidor terá direito a um avanço, até o máximo de dez avanços, cada um no valor de
 

Provas

Questão presente nas seguintes provas
378093 Ano: 2012
Disciplina: Matemática
Banca: CONSESP
Orgão: Câm. Eldorado do Sul-RS
Provas:
Calcule enunciado 378093-1
 

Provas

Questão presente nas seguintes provas
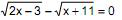
378092 Ano: 2012
Disciplina: Matemática
Banca: CONSESP
Orgão: Câm. Eldorado do Sul-RS
Provas:
Resolva a equação irracional em R enunciado 378092-1
 

Provas

Questão presente nas seguintes provas