Magna Concursos

Foram encontradas 60 questões.

4093156 Ano: 2026
Disciplina: Administração Financeira e Orçamentária
Banca: Verbena
Orgão: Câm. Goiânia-GO
Provas:
No que diz respeito à classificação econômica da receita orçamentária, a remuneração de depósitos bancários classifica-se como receita
 

Provas

Questão presente nas seguintes provas
4093155 Ano: 2026
Disciplina: Administração Financeira e Orçamentária
Banca: Verbena
Orgão: Câm. Goiânia-GO
Provas:
Na análise das contas públicas, a Necessidade de Financiamento do Setor Público (NFSP) pode ser apurada por diferentes metodologias. Pelo critério “acima da linha”, a NFSP é obtida a partir do(a)
 

Provas

Questão presente nas seguintes provas
4093154 Ano: 2026
Disciplina: Direito Financeiro
Banca: Verbena
Orgão: Câm. Goiânia-GO
Provas:
De acordo com a Lei Complementar nº 101/2000, qual é o objetivo das metas fiscais estabelecidas na Lei de Diretrizes Orçamentárias?
 

Provas

Questão presente nas seguintes provas
4093153 Ano: 2026
Disciplina: Economia
Banca: Verbena
Orgão: Câm. Goiânia-GO
Provas:
Na Economia do setor público, as funções do Estado podem ser associadas a instrumentos específicos utilizados para corrigir falhas de mercado, promover equidade e estabilizar a economia. O correto cruzamento entre função do Estado e instrumento típico de atuação é a função
 

Provas

Questão presente nas seguintes provas
4093152 Ano: 2026
Disciplina: Economia
Banca: Verbena
Orgão: Câm. Goiânia-GO
Provas:

Leia o caso a seguir.

Em determinado país, os dados do Sistema de Contas Nacionais referentes a um ano específico indicaram as seguintes informações:

Valor Adicionado Bruto (VAB) a preços básicos do setor agropecuário: R$ 220 bilhões

Valor Adicionado Bruto (VAB) a preços básicos do setor industrial: R$ 380 bilhões

Valor Adicionado Bruto (VAB) a preços básicos do setor de serviços: R$ 300 bilhões

No mesmo período, registraram-se:

Impostos sobre produtos: R$ 170 bilhões

Subsídios sobre produtos: R$ 45 bilhões

Com base nessas informações, o Produto Interno Bruto (PIB) a preço de mercado desse país é igual a

 

Provas

Questão presente nas seguintes provas
4093151 Ano: 2026
Disciplina: Economia
Banca: Verbena
Orgão: Câm. Goiânia-GO
Provas:

Considere a Curva de Phillips com expectativas, dada por

πt =  Enunciado 4530819-1  -  Enunciado 4530819-2(ut un) + Enunciado 4530819-3, Enunciado 4530819-4 >0,

Em que πt é a inflação, Enunciado 4530819-5 é a inflação esperada, ut é a taxa de desemprego e un é a taxa natural. Suponha expectativas adaptativas na forma Enunciado 4530819-6 = πt-1 e admita Enunciado 4530819-7 = 0. Considere uma política que busque manter a taxa de desemprego (ut) de forma persistente abaixo da taxa natural (un). 

Nessa estrutura, tal política

 

Provas

Questão presente nas seguintes provas
4093150 Ano: 2026
Disciplina: Economia
Banca: Verbena
Orgão: Câm. Goiânia-GO
Provas:
Considerando a classificação econômica dos bens, um exemplo de bem público puro é a/o
 

Provas

Questão presente nas seguintes provas
4093149 Ano: 2026
Disciplina: Economia
Banca: Verbena
Orgão: Câm. Goiânia-GO
Provas:
No modelo de concorrência monopolística, o equilíbrio de longo prazo resulta em uma situação na qual as firmas
 

Provas

Questão presente nas seguintes provas
4093148 Ano: 2026
Disciplina: Economia
Banca: Verbena
Orgão: Câm. Goiânia-GO
Provas:
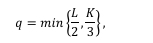
A taxa marginal de substituição técnica (TMST) – frequentemente denotada por TMSTlk– é um conceito da teoria da produção que mede quanto de um insumo pode ser reduzido quando se aumenta marginalmente outro insumo, mantendo o nível de produção constante. Considere uma tecnologia de produção do tipo Leontief representada por: 

                                                                                                             Enunciado 4530816-1

Em que L é trabalho e K é capital.


Nessa tecnologia, a TMSTlk é
 

Provas

Questão presente nas seguintes provas
4093147 Ano: 2026
Disciplina: Economia
Banca: Verbena
Orgão: Câm. Goiânia-GO
Provas:
Considere um consumidor cujas preferências entre três cestas de bens A, B e C são descritas da seguinte forma: o consumidor prefere A a B, prefere B a C e prefere C a A. Esse padrão de preferências caracteriza
 

Provas

Questão presente nas seguintes provas