Magna Concursos

Foram encontradas 60 questões.

4066877 Ano: 2026
Disciplina: Matemática
Banca: COTEC
Orgão: Câm. Morro Garça-MG
Provas:
Três cartas de baralho são retiradas de uma amostra com sete cartas. Não há reposição e a ordem não importa. Quantos são os resultados possíveis?
 

Provas

Questão presente nas seguintes provas
4066876 Ano: 2026
Disciplina: Matemática
Banca: COTEC
Orgão: Câm. Morro Garça-MG
Provas:
Sendo z um número complexo dado por z = 2i − 1, qual o número complexo dado por  z3 ?
 

Provas

Questão presente nas seguintes provas
4066875 Ano: 2026
Disciplina: Matemática
Banca: COTEC
Orgão: Câm. Morro Garça-MG
Provas:
A distância do ponto P=(2, 1) até a reta  x-2y=5  é
 

Provas

Questão presente nas seguintes provas
4066874 Ano: 2026
Disciplina: Matemática
Banca: COTEC
Orgão: Câm. Morro Garça-MG
Provas:
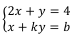
Para quais valores de  k  e  b, o sistema linear Enunciado 4543935-1 possui infinitas soluções?
 

Provas

Questão presente nas seguintes provas
4066873 Ano: 2026
Disciplina: Matemática
Banca: COTEC
Orgão: Câm. Morro Garça-MG
Provas:

Para todo valor de x, em que as expressões existem, o valor de  Enunciado 4543934-1  é igual a

Dados: tg: tangente

cotg: cotangente

 

Provas

Questão presente nas seguintes provas
4066872 Ano: 2026
Disciplina: Matemática
Banca: COTEC
Orgão: Câm. Morro Garça-MG
Provas:
Se log37=a  e  log711=b, quanto vale  log113 ?
 

Provas

Questão presente nas seguintes provas
4066871 Ano: 2026
Disciplina: Matemática Financeira
Banca: COTEC
Orgão: Câm. Morro Garça-MG
Provas:
Um certo produto foi ofertado com 20% de desconto inicial. Na hora da venda, um novo desconto de 10% foi ofertado sobre o preço já com o desconto inicial. O preço da venda, após os dois descontos, foi de R$ 280,00. O valor que mais se aproxima do preço do produto sem desconto algum é
 

Provas

Questão presente nas seguintes provas
4066870 Ano: 2026
Disciplina: Matemática
Banca: COTEC
Orgão: Câm. Morro Garça-MG
Provas:
Uma equipe de 12 trabalhadores, trabalhando 8 horas por dia, conclui uma obra em 30 dias. Porém, antes de iniciar a obra, as seguintes alterações ocorreram, a quantidade de trabalhadores aumentará em 25%, enquanto que a jornada de
 

Provas

Questão presente nas seguintes provas
4066869 Ano: 2026
Disciplina: Raciocínio Lógico
Banca: COTEC
Orgão: Câm. Morro Garça-MG
Provas:
Considere que x ∈ [1,3]   e  y ∈ (2,6). A qual intervalo pertence o valor de  x + ?
 

Provas

Questão presente nas seguintes provas
4066868 Ano: 2026
Disciplina: Matemática
Banca: COTEC
Orgão: Câm. Morro Garça-MG
Provas:
Ao dividir o número x por 37, o quociente obtido foi 19 e o resto foi o maior inteiro possível. Qual o valor de x?
 

Provas

Questão presente nas seguintes provas