Magna Concursos

Foram encontradas 50 questões.

3655759 Ano: 2025
Disciplina: Matemática
Banca: SELECON
Orgão: CEFET-RJ
Um número natural diferente de 0 e 1 e que é apenas múltiplo de 1 e de si próprio é chamado de número primo. Um resultado central na Matemática garante que todo número natural maior que 1 pode ser escrito como um produto de números primos, seus fatores primos. O menor número natural cujos fatores primos somam 14 é:
 

Provas

Questão presente nas seguintes provas
3655758 Ano: 2025
Disciplina: Matemática
Banca: SELECON
Orgão: CEFET-RJ
Em uma pista de automobilismo, sabe-se que, para cada 5 m de pista percorrida, um kart consome 0,7 mL de combustível. Se a pista possui 2,5 km de extensão, a quantidade total de combustível, em mililitros, consumida por um kart ao percorrer toda a pista uma vez é:
 

Provas

Questão presente nas seguintes provas
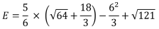
3655757 Ano: 2025
Disciplina: Matemática
Banca: SELECON
Orgão: CEFET-RJ
No Cefet/RJ, os alunos do curso técnico em Eletrotécnica foram desafiados a aplicar conceitos matemáticos no cálculo de eficiência de circuitos. Durante a aula de Matemática Aplicada, o professor apresentou a seguinte situação: "Em um projeto de geração de energia, é encontrada a seguinte expressão numérica para estimar a eficiência semanal de um equipamento."
Enunciado 4376744-1
Caso todas as operações sejam resolvidas corretamente, o número inteiro mais próximo da eficiência semanal do equipamento encontrada pelos alunos será:
 

Provas

Questão presente nas seguintes provas
3655756 Ano: 2025
Disciplina: Matemática
Banca: SELECON
Orgão: CEFET-RJ
Amanda foi até seu apartamento, que se encontra em obra, com o objetivo de medir as dimensões de uma janela. Ao verificar que esqueceu sua fita métrica, decidiu utilizar o comprimento de uma caneta como unidade de medida para estimar as dimensões, concluindo que a janela mede 11,5 canetas de largura e9 canetas de altura. Em casa, verificou que o comprimento da caneta é de 14,5 cm. As medidas estimadas para a largura e a altura, em centímetros, dessa janela valem respectivamente:
 

Provas

Questão presente nas seguintes provas
3655755 Ano: 2025
Disciplina: Matemática
Banca: SELECON
Orgão: CEFET-RJ
Em um mercado, as maçãs são vendidas em bandejas com três maçãs ou com quatro maçãs. Se Pedro comprou exatamente 17 maçãs, a quantidade de bandejas com três maçãs compradas foi de:
 

Provas

Questão presente nas seguintes provas
3655754 Ano: 2025
Disciplina: Português
Banca: SELECON
Orgão: CEFET-RJ
TEXTO I

Por uma cultura de paz
Uma das coisas mais bonitas de ver é a atuação pacífica de mães e de pais com seus filhos, educando-os no diálogo, na alteridade, no cuidado e no respeito aos outros. Nosso dia se ilumina ao ver um adulto se portando como adulto, sendo capaz de transmitir à geração mais nova o melhor que tem em si.
Uma das coisas mais constrangedoras de ver é a atuação descontrolada de mães e de pais com seus filhos, falando em tom agressivo, agindo com brusquidão, tentando impor seu poder pela força, com palavras ou atos físicos. Entristece-nos contemplar o ciclo de agressividade se reproduzindo, com consequências que vão muito além do que os nossos olhos podem ver naquele momento.
Essas duas situações me vêm ao pensar no cenário de agressividade que tem dominado a vida pública nacional. O ciclo de violência que permeia e estrutura nossa sociedade não é um dado da natureza. É uma realidade histórica renovada diariamente. Há um passado a influenciar, mas há também uma escolha feita no tempo presente: pais violentos, professores violentos, estudantes violentos, cidadãos violentos, policiais violentos, candidatos violentos, eleitores violentos, maridos violentos, motoristas violentos. Como nossa sensibilidade reage a essas situações?
O problema não é só aqui. Conheci recentemente um casal de professores universitários americanos que se mudaram para Glasgow, na Escócia, depois que o Estado do Arkansas aprovou uma lei permitindo que estudantes portassem armas ocultas no campus. Não se sentiam seguros de dar aulas sob as novas condições. O incrível é que parcela da sociedade brasileira olha para os Estados Unidos e deseja emular a mesma loucura armamentista. É uma escolha.
A cultura da violência é o oposto da cultura democrática, que é respeito, diálogo, negociação, cooperação. É evidente, diante disso, a necessidade de promover uma cultura de paz, uma cultura verdadeiramente democrática. Não é tarefa fácil, nem simples. Mas talvez o primeiro passo seja reconhecer o problema. Não somos um país pacífico. A sociedade brasileira tem historicamente tolerado – e continua tolerando – altos índices de violência. E, pior, quando nos indignamos com a violência das nossas cidades, a resposta tem sido uma só: mais violência. Almejam-se o aumento da pena e o endurecimento das condições de cumprimento da pena. Ou seja, ainda preferimos lidar com uma questão difícil e complexa por meio de uma resposta fácil e simplista.
Se queremos uma sociedade mais pacífica, em vez de pedir penas mais altas – como se todos os problemas fossem causados pelos outros –, temos de entender as causas da cultura de violência e da cultura de paz. Há exemplos interessantes. Considerada nos anos 1970 e 1980 como uma cidade difícil e violenta, Glasgow conseguiu transformar sua realidade social por meio de políticas públicas de apoio à educação e à arte e de fortalecimento dos laços comunitários.
A paz, assim como a democracia, não vem por decreto. É uma construção diária, que começa em casa, mas passa também, entre outros âmbitos, pelas eleições e por políticas públicas efetivas. Que nossa indignação com a criminalidade e a insegurança não desemboque em descontrole irracional, mas desperte uma resposta adulta – articulada e responsável – para o problema.
CAVALCANTI, Nicolau da Rocha. Opinião. Estado de Minas, 25/09/2024. Disponível em:https://www.estadao.com.br/opiniao/nicolau-da-rocha-cavalcanti/por-umacultura-de-paz/. Acesso em: 20 out. 2024. Adaptado.

TEXTO II


porto alegre, 2016

quando você viu na tv

aquelas pessoas em fila na chuva

à noite numa estrada

na fronteira de um país que não as deseja

e quando você viu as bombas

caírem sobre cidades distantes

com aquelas casas e ruas

tão sujas e tão diferentes

e quando você viu a polícia

na praça do país estrangeiro

partir pra cima de manifestantes

com bombas de gás lacrimogêneo

não pensou duas vezes

nem trocou o canal

e foi pegar comida

na geladeira

não reparou o que vinha

que era só uma questão de tempo

não interpretou como sinal a notícia

não precisou estocar mantimentos

agora a colher cai da boca

e o barulho de bomba é ali fora

e a polícia pra cima dos teus afetos

munida de espadas, sobre cavalos

FREITAS, Angélica. In: 50 poemas de revolta. São Paulo: Companhia das Letras, 2017, p. 13-14.

A postura apresentada no Texto 02, ao longo das cinco primeiras estrofes, dialoga com a seguinte crítica proposta pelo Texto 01:
 

Provas

Questão presente nas seguintes provas
3655753 Ano: 2025
Disciplina: Português
Banca: SELECON
Orgão: CEFET-RJ

TEXTO II


porto alegre, 2016

quando você viu na tv

aquelas pessoas em fila na chuva

à noite numa estrada

na fronteira de um país que não as deseja

e quando você viu as bombas

caírem sobre cidades distantes

com aquelas casas e ruas

tão sujas e tão diferentes

e quando você viu a polícia

na praça do país estrangeiro

partir pra cima de manifestantes

com bombas de gás lacrimogêneo

não pensou duas vezes

nem trocou o canal

e foi pegar comida

na geladeira

não reparou o que vinha

que era só uma questão de tempo

não interpretou como sinal a notícia

não precisou estocar mantimentos

agora a colher cai da boca

e o barulho de bomba é ali fora

e a polícia pra cima dos teus afetos

munida de espadas, sobre cavalos

FREITAS, Angélica. In: 50 poemas de revolta. São Paulo: Companhia das Letras, 2017, p. 13-14.

A linguagem conotativa, ao ser empregada no verso “na fronteira de um país que não as deseja” (v. 4), confere expressividade ao texto, uma vez que:
 

Provas

Questão presente nas seguintes provas
3655752 Ano: 2025
Disciplina: Português
Banca: SELECON
Orgão: CEFET-RJ

TEXTO II


porto alegre, 2016

quando você viu na tv

aquelas pessoas em fila na chuva

à noite numa estrada

na fronteira de um país que não as deseja

e quando você viu as bombas

caírem sobre cidades distantes

com aquelas casas e ruas

tão sujas e tão diferentes

e quando você viu a polícia

na praça do país estrangeiro

partir pra cima de manifestantes

com bombas de gás lacrimogêneo

não pensou duas vezes

nem trocou o canal

e foi pegar comida

na geladeira

não reparou o que vinha

que era só uma questão de tempo

não interpretou como sinal a notícia

não precisou estocar mantimentos

agora a colher cai da boca

e o barulho de bomba é ali fora

e a polícia pra cima dos teus afetos

munida de espadas, sobre cavalos

FREITAS, Angélica. In: 50 poemas de revolta. São Paulo: Companhia das Letras, 2017, p. 13-14.

Em relação ao conjunto de estrofes anteriores, o verso "agora a colher cai da boca" (v. 21) marca uma quebra de expectativa e provoca o seguinte efeito de sentido:
 

Provas

Questão presente nas seguintes provas
3655751 Ano: 2025
Disciplina: Português
Banca: SELECON
Orgão: CEFET-RJ

TEXTO II


porto alegre, 2016

quando você viu na tv

aquelas pessoas em fila na chuva

à noite numa estrada

na fronteira de um país que não as deseja

e quando você viu as bombas

caírem sobre cidades distantes

com aquelas casas e ruas

tão sujas e tão diferentes

e quando você viu a polícia

na praça do país estrangeiro

partir pra cima de manifestantes

com bombas de gás lacrimogêneo

não pensou duas vezes

nem trocou o canal

e foi pegar comida

na geladeira

não reparou o que vinha

que era só uma questão de tempo

não interpretou como sinal a notícia

não precisou estocar mantimentos

agora a colher cai da boca

e o barulho de bomba é ali fora

e a polícia pra cima dos teus afetos

munida de espadas, sobre cavalos

FREITAS, Angélica. In: 50 poemas de revolta. São Paulo: Companhia das Letras, 2017, p. 13-14.

Entre as três primeiras estrofes e a última, são apresentadas ideias que contrastam, marcadas, sobretudo, por advérbios e locuções adverbiais. Essa oposição pode ser evidenciada, nestas estrofes, por expressões com valor semântico de:
 

Provas

Questão presente nas seguintes provas
3655750 Ano: 2025
Disciplina: Português
Banca: SELECON
Orgão: CEFET-RJ
TEXTO I

Por uma cultura de paz
Uma das coisas mais bonitas de ver é a atuação pacífica de mães e de pais com seus filhos, educando-os no diálogo, na alteridade, no cuidado e no respeito aos outros. Nosso dia se ilumina ao ver um adulto se portando como adulto, sendo capaz de transmitir à geração mais nova o melhor que tem em si.
Uma das coisas mais constrangedoras de ver é a atuação descontrolada de mães e de pais com seus filhos, falando em tom agressivo, agindo com brusquidão, tentando impor seu poder pela força, com palavras ou atos físicos. Entristece-nos contemplar o ciclo de agressividade se reproduzindo, com consequências que vão muito além do que os nossos olhos podem ver naquele momento.
Essas duas situações me vêm ao pensar no cenário de agressividade que tem dominado a vida pública nacional. O ciclo de violência que permeia e estrutura nossa sociedade não é um dado da natureza. É uma realidade histórica renovada diariamente. Há um passado a influenciar, mas há também uma escolha feita no tempo presente: pais violentos, professores violentos, estudantes violentos, cidadãos violentos, policiais violentos, candidatos violentos, eleitores violentos, maridos violentos, motoristas violentos. Como nossa sensibilidade reage a essas situações?
O problema não é só aqui. Conheci recentemente um casal de professores universitários americanos que se mudaram para Glasgow, na Escócia, depois que o Estado do Arkansas aprovou uma lei permitindo que estudantes portassem armas ocultas no campus. Não se sentiam seguros de dar aulas sob as novas condições. O incrível é que parcela da sociedade brasileira olha para os Estados Unidos e deseja emular a mesma loucura armamentista. É uma escolha.
A cultura da violência é o oposto da cultura democrática, que é respeito, diálogo, negociação, cooperação. É evidente, diante disso, a necessidade de promover uma cultura de paz, uma cultura verdadeiramente democrática. Não é tarefa fácil, nem simples. Mas talvez o primeiro passo seja reconhecer o problema. Não somos um país pacífico. A sociedade brasileira tem historicamente tolerado – e continua tolerando – altos índices de violência. E, pior, quando nos indignamos com a violência das nossas cidades, a resposta tem sido uma só: mais violência. Almejam-se o aumento da pena e o endurecimento das condições de cumprimento da pena. Ou seja, ainda preferimos lidar com uma questão difícil e complexa por meio de uma resposta fácil e simplista.
Se queremos uma sociedade mais pacífica, em vez de pedir penas mais altas – como se todos os problemas fossem causados pelos outros –, temos de entender as causas da cultura de violência e da cultura de paz. Há exemplos interessantes. Considerada nos anos 1970 e 1980 como uma cidade difícil e violenta, Glasgow conseguiu transformar sua realidade social por meio de políticas públicas de apoio à educação e à arte e de fortalecimento dos laços comunitários.
A paz, assim como a democracia, não vem por decreto. É uma construção diária, que começa em casa, mas passa também, entre outros âmbitos, pelas eleições e por políticas públicas efetivas. Que nossa indignação com a criminalidade e a insegurança não desemboque em descontrole irracional, mas desperte uma resposta adulta – articulada e responsável – para o problema.
CAVALCANTI, Nicolau da Rocha. Opinião. Estado de Minas, 25/09/2024. Disponível em:https://www.estadao.com.br/opiniao/nicolau-da-rocha-cavalcanti/por-umacultura-de-paz/. Acesso em: 20 out. 2024. Adaptado.
No trecho “O ciclo de violência que permeia e estrutura nossa sociedade não é um dado da natureza” (3º parágrafo), a oração adjetiva destacada se articula à expressão anterior, produzindo um sentido de:
 

Provas

Questão presente nas seguintes provas