Magna Concursos

Foram encontradas 40 questões.

368305 Ano: 2015
Disciplina: Matemática
Banca: IBFC
Orgão: CEP-28
Provas:
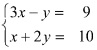
O valor numérico da expressão enunciado 368305-1, sabendo que os valores de x e y representam a solução do sistema


enunciado 368305-2 é:
 

Provas

Questão presente nas seguintes provas
368304 Ano: 2015
Disciplina: Português
Banca: IBFC
Orgão: CEP-28
Texto I

Também tem de ser verde
(Jennifer ann Thomas)

A onda sustentável que tomou o planeta nas últimas décadas levantou considerações em torno da fabricação de baterias. A busca pelo aumento da eficiência passou a rivalizar com a batalha por tornar esses dispositivos mais verdes. O caminho seguro é a substituição gradual de fontes sujas de energia, a exemplo do petróleo, pelas renováveis. A energia solar, em especial, foi alavancada ao status de possível solução definitiva para os dois problemas que rondam as baterias: a eficiência e a sustentabilidade. Se toda a radiação que atinge a Terra em um dia, vinda do sol, virasse eletricidade, seria possível sustentara humanidade por 27 anos. Na prática, o que falta hoje para a adoção ampla da alternativa solar é apenas vontade, da indústria e de consumidores, para implantá-la. A startup alemã Changers achou uma boa forma de incentivo.
A Changers vende os modelos abastecidos por radiação solar. Seus carregadores, finos e maleáveis, podem ser acoplados a mochilas ou levados dentro de uma bolsa. Após quatro horas carregando no sol, uma dessas baterias absorve energia suficiente para produzir 16 watts-hora, o suficiente para recarregara bateria de um smartphone duas vezes no dia.
Um aplicativo, normalmente entregue junto com as baterias da Changers, motiva clientes a ser sustentáveis - e, no processo, mostra as vantagens de adotar essa postura (mesmo que para isso seja preciso pagar um pouco mais caro pelo produto alimentado pelo sol, em comparação com as baterias carregadas com fontes sujas). [...] A fundadora da Changers, Daniela Schiefer, afirma: “Todos adoram falar da necessidade de cuidar da Terra, mas poucos se mexem para isso. Queremos dar um empurrão, dizer ‘vamos começar de algum lugar’ e mostrar quanto é fácil adotar posturas mais conscientes”.

(Revista Veja, de 15/04/15 - adaptado)
Embora seja um texto informativo, é possível perceber a presença da linguagem figurada em algumas passagens da notícia acima. Assinale a única opção em que NÃO se perceba um exemplo de figura de linguagem.
 

Provas

Questão presente nas seguintes provas
368303 Ano: 2015
Disciplina: Português
Banca: IBFC
Orgão: CEP-28
Texto I

Também tem de ser verde
(Jennifer ann Thomas)

A onda sustentável que tomou o planeta nas últimas décadas levantou considerações em torno da fabricação de baterias. A busca pelo aumento da eficiência passou a rivalizar com a batalha por tornar esses dispositivos mais verdes. O caminho seguro é a substituição gradual de fontes sujas de energia, a exemplo do petróleo, pelas renováveis. A energia solar, em especial, foi alavancada ao status de possível solução definitiva para os dois problemas que rondam as baterias: a eficiência e a sustentabilidade. Se toda a radiação que atinge a Terra em um dia, vinda do sol, virasse eletricidade, seria possível sustentara humanidade por 27 anos. Na prática, o que falta hoje para a adoção ampla da alternativa solar é apenas vontade, da indústria e de consumidores, para implantá-la. A startup alemã Changers achou uma boa forma de incentivo.
A Changers vende os modelos abastecidos por radiação solar. Seus carregadores, finos e maleáveis, podem ser acoplados a mochilas ou levados dentro de uma bolsa. Após quatro horas carregando no sol, uma dessas baterias absorve energia suficiente para produzir 16 watts-hora, o suficiente para recarregara bateria de um smartphone duas vezes no dia.
Um aplicativo, normalmente entregue junto com as baterias da Changers, motiva clientes a ser sustentáveis - e, no processo, mostra as vantagens de adotar essa postura (mesmo que para isso seja preciso pagar um pouco mais caro pelo produto alimentado pelo sol, em comparação com as baterias carregadas com fontes sujas). [...] A fundadora da Changers, Daniela Schiefer, afirma: “Todos adoram falar da necessidade de cuidar da Terra, mas poucos se mexem para isso. Queremos dar um empurrão, dizer ‘vamos começar de algum lugar’ e mostrar quanto é fácil adotar posturas mais conscientes”.

(Revista Veja, de 15/04/15 - adaptado)
O referente textual do segmento “essa postura” está corretamente indicado em:
 

Provas

Questão presente nas seguintes provas
368302 Ano: 2015
Disciplina: Português
Banca: IBFC
Orgão: CEP-28
enunciado 368302-1
A charge acima efetiva uma crítica bem humorada a um dos grandes desafios do mundo contemporâneo no que diz respeito à sustentabilidade: a alocação do lixo. Além da exploração dos recursos visuais, o humor efetiva-se:
 

Provas

Questão presente nas seguintes provas
368301 Ano: 2015
Disciplina: Português
Banca: IBFC
Orgão: CEP-28
enunciado 368301-1
Os textos I e II dialogam no que diz respeito à:
 

Provas

Questão presente nas seguintes provas
368300 Ano: 2015
Disciplina: Português
Banca: IBFC
Orgão: CEP-28
Texto I

Também tem de ser verde
(Jennifer ann Thomas)

A onda sustentável que tomou o planeta nas últimas décadas levantou considerações em torno da fabricação de baterias. A busca pelo aumento da eficiência passou a rivalizar com a batalha por tornar esses dispositivos mais verdes. O caminho seguro é a substituição gradual de fontes sujas de energia, a exemplo do petróleo, pelas renováveis. A energia solar, em especial, foi alavancada ao status de possível solução definitiva para os dois problemas que rondam as baterias: a eficiência e a sustentabilidade. Se toda a radiação que atinge a Terra em um dia, vinda do sol, virasse eletricidade, seria possível sustentara humanidade por 27 anos. Na prática, o que falta hoje para a adoção ampla da alternativa solar é apenas vontade, da indústria e de consumidores, para implantá-la. A startup alemã Changers achou uma boa forma de incentivo.
A Changers vende os modelos abastecidos por radiação solar. Seus carregadores, finos e maleáveis, podem ser acoplados a mochilas ou levados dentro de uma bolsa. Após quatro horas carregando no sol, uma dessas baterias absorve energia suficiente para produzir 16 watts-hora, o suficiente para recarregara bateria de um smartphone duas vezes no dia.
Um aplicativo, normalmente entregue junto com as baterias da Changers, motiva clientes a ser sustentáveis - e, no processo, mostra as vantagens de adotar essa postura (mesmo que para isso seja preciso pagar um pouco mais caro pelo produto alimentado pelo sol, em comparação com as baterias carregadas com fontes sujas). [...] A fundadora da Changers, Daniela Schiefer, afirma: “Todos adoram falar da necessidade de cuidar da Terra, mas poucos se mexem para isso. Queremos dar um empurrão, dizer ‘vamos começar de algum lugar’ e mostrar quanto é fácil adotar posturas mais conscientes”.

(Revista Veja, de 15/04/15 - adaptado)
Considere o fragmento abaixo para responder à questão seguinte.

“Um aplicativo, normalmente entregue junto com as baterias da Changers, motiva clientes a ser sustentáveis - e, no processo, mostra as vantagens de adotar essa postura (mesmo que para isso seja preciso pagar um pouco mais caro pelo produto alimentado pelo sol, em comparação com as baterias carregadas com fontes sujas). ” (3°§)

Considerando o valor semântico do termo em destaque, ele poderia ser substituído, sem prejuízo de sentido, por:
 

Provas

Questão presente nas seguintes provas
368299 Ano: 2015
Disciplina: Português
Banca: IBFC
Orgão: CEP-28
Texto I

Também tem de ser verde
(Jennifer ann Thomas)

A onda sustentável que tomou o planeta nas últimas décadas levantou considerações em torno da fabricação de baterias. A busca pelo aumento da eficiência passou a rivalizar com a batalha por tornar esses dispositivos mais verdes. O caminho seguro é a substituição gradual de fontes sujas de energia, a exemplo do petróleo, pelas renováveis. A energia solar, em especial, foi alavancada ao status de possível solução definitiva para os dois problemas que rondam as baterias: a eficiência e a sustentabilidade. Se toda a radiação que atinge a Terra em um dia, vinda do sol, virasse eletricidade, seria possível sustentara humanidade por 27 anos. Na prática, o que falta hoje para a adoção ampla da alternativa solar é apenas vontade, da indústria e de consumidores, para implantá-la. A startup alemã Changers achou uma boa forma de incentivo.
A Changers vende os modelos abastecidos por radiação solar. Seus carregadores, finos e maleáveis, podem ser acoplados a mochilas ou levados dentro de uma bolsa. Após quatro horas carregando no sol, uma dessas baterias absorve energia suficiente para produzir 16 watts-hora, o suficiente para recarregara bateria de um smartphone duas vezes no dia.
Um aplicativo, normalmente entregue junto com as baterias da Changers, motiva clientes a ser sustentáveis - e, no processo, mostra as vantagens de adotar essa postura (mesmo que para isso seja preciso pagar um pouco mais caro pelo produto alimentado pelo sol, em comparação com as baterias carregadas com fontes sujas). [...] A fundadora da Changers, Daniela Schiefer, afirma: “Todos adoram falar da necessidade de cuidar da Terra, mas poucos se mexem para isso. Queremos dar um empurrão, dizer ‘vamos começar de algum lugar’ e mostrar quanto é fácil adotar posturas mais conscientes”.

(Revista Veja, de 15/04/15 - adaptado)
A partir da análise sintática das formas verbais “entregue”, “motiva” e “mostra”, pode-se concluir todos os comentários abaixo, EXCETO:
 

Provas

Questão presente nas seguintes provas
368298 Ano: 2015
Disciplina: Português
Banca: IBFC
Orgão: CEP-28
Texto I

Também tem de ser verde
(Jennifer ann Thomas)

A onda sustentável que tomou o planeta nas últimas décadas levantou considerações em torno da fabricação de baterias. A busca pelo aumento da eficiência passou a rivalizar com a batalha por tornar esses dispositivos mais verdes. O caminho seguro é a substituição gradual de fontes sujas de energia, a exemplo do petróleo, pelas renováveis. A energia solar, em especial, foi alavancada ao status de possível solução definitiva para os dois problemas que rondam as baterias: a eficiência e a sustentabilidade. Se toda a radiação que atinge a Terra em um dia, vinda do sol, virasse eletricidade, seria possível sustentara humanidade por 27 anos. Na prática, o que falta hoje para a adoção ampla da alternativa solar é apenas vontade, da indústria e de consumidores, para implantá-la. A startup alemã Changers achou uma boa forma de incentivo.
A Changers vende os modelos abastecidos por radiação solar. Seus carregadores, finos e maleáveis, podem ser acoplados a mochilas ou levados dentro de uma bolsa. Após quatro horas carregando no sol, uma dessas baterias absorve energia suficiente para produzir 16 watts-hora, o suficiente para recarregara bateria de um smartphone duas vezes no dia.
Um aplicativo, normalmente entregue junto com as baterias da Changers, motiva clientes a ser sustentáveis - e, no processo, mostra as vantagens de adotar essa postura (mesmo que para isso seja preciso pagar um pouco mais caro pelo produto alimentado pelo sol, em comparação com as baterias carregadas com fontes sujas). [...] A fundadora da Changers, Daniela Schiefer, afirma: “Todos adoram falar da necessidade de cuidar da Terra, mas poucos se mexem para isso. Queremos dar um empurrão, dizer ‘vamos começar de algum lugar’ e mostrar quanto é fácil adotar posturas mais conscientes”.

(Revista Veja, de 15/04/15 - adaptado)
Considere o fragmento abaixo para responder à questão.

Se toda a radiação que atinge a Terra em um dia, vinda do sol, virasse eletricidade, seria possível sustentar a humanidade por 27 anos. ” (1°§)

A partir da análise dos verbos destacados e do sentido que eles introduzem na frase em questão, assinale a opção em que se faz um comentário correto.
 

Provas

Questão presente nas seguintes provas
368297 Ano: 2015
Disciplina: Português
Banca: IBFC
Orgão: CEP-28
Texto I

Também tem de ser verde
(Jennifer ann Thomas)

A onda sustentável que tomou o planeta nas últimas décadas levantou considerações em torno da fabricação de baterias. A busca pelo aumento da eficiência passou a rivalizar com a batalha por tornar esses dispositivos mais verdes. O caminho seguro é a substituição gradual de fontes sujas de energia, a exemplo do petróleo, pelas renováveis. A energia solar, em especial, foi alavancada ao status de possível solução definitiva para os dois problemas que rondam as baterias: a eficiência e a sustentabilidade. Se toda a radiação que atinge a Terra em um dia, vinda do sol, virasse eletricidade, seria possível sustentara humanidade por 27 anos. Na prática, o que falta hoje para a adoção ampla da alternativa solar é apenas vontade, da indústria e de consumidores, para implantá-la. A startup alemã Changers achou uma boa forma de incentivo.
A Changers vende os modelos abastecidos por radiação solar. Seus carregadores, finos e maleáveis, podem ser acoplados a mochilas ou levados dentro de uma bolsa. Após quatro horas carregando no sol, uma dessas baterias absorve energia suficiente para produzir 16 watts-hora, o suficiente para recarregara bateria de um smartphone duas vezes no dia.
Um aplicativo, normalmente entregue junto com as baterias da Changers, motiva clientes a ser sustentáveis - e, no processo, mostra as vantagens de adotar essa postura (mesmo que para isso seja preciso pagar um pouco mais caro pelo produto alimentado pelo sol, em comparação com as baterias carregadas com fontes sujas). [...] A fundadora da Changers, Daniela Schiefer, afirma: “Todos adoram falar da necessidade de cuidar da Terra, mas poucos se mexem para isso. Queremos dar um empurrão, dizer ‘vamos começar de algum lugar’ e mostrar quanto é fácil adotar posturas mais conscientes”.

(Revista Veja, de 15/04/15 - adaptado)
Considere o fragmento abaixo para responder à questão.

Se toda a radiação que atinge a Terra em um dia, vinda do sol, virasse eletricidade, seria possível sustentar a humanidade por 27 anos. ” (1°§)

Observe que, nas palavras “eletricidade” e “humanidade”, foi empregado um mesmo sufixo formador de substantivo. Assinale, dentre as palavras abaixo destacadas, aquela cujo sufixo NÃO forme um substantivo.
 

Provas

Questão presente nas seguintes provas
368296 Ano: 2015
Disciplina: Português
Banca: IBFC
Orgão: CEP-28
Texto I

Também tem de ser verde
(Jennifer ann Thomas)

A onda sustentável que tomou o planeta nas últimas décadas levantou considerações em torno da fabricação de baterias. A busca pelo aumento da eficiência passou a rivalizar com a batalha por tornar esses dispositivos mais verdes. O caminho seguro é a substituição gradual de fontes sujas de energia, a exemplo do petróleo, pelas renováveis. A energia solar, em especial, foi alavancada ao status de possível solução definitiva para os dois problemas que rondam as baterias: a eficiência e a sustentabilidade. Se toda a radiação que atinge a Terra em um dia, vinda do sol, virasse eletricidade, seria possível sustentara humanidade por 27 anos. Na prática, o que falta hoje para a adoção ampla da alternativa solar é apenas vontade, da indústria e de consumidores, para implantá-la. A startup alemã Changers achou uma boa forma de incentivo.
A Changers vende os modelos abastecidos por radiação solar. Seus carregadores, finos e maleáveis, podem ser acoplados a mochilas ou levados dentro de uma bolsa. Após quatro horas carregando no sol, uma dessas baterias absorve energia suficiente para produzir 16 watts-hora, o suficiente para recarregara bateria de um smartphone duas vezes no dia.
Um aplicativo, normalmente entregue junto com as baterias da Changers, motiva clientes a ser sustentáveis - e, no processo, mostra as vantagens de adotar essa postura (mesmo que para isso seja preciso pagar um pouco mais caro pelo produto alimentado pelo sol, em comparação com as baterias carregadas com fontes sujas). [...] A fundadora da Changers, Daniela Schiefer, afirma: “Todos adoram falar da necessidade de cuidar da Terra, mas poucos se mexem para isso. Queremos dar um empurrão, dizer ‘vamos começar de algum lugar’ e mostrar quanto é fácil adotar posturas mais conscientes”.

(Revista Veja, de 15/04/15 - adaptado)
Considerando o sentido global do texto, pode-se afirmar que a referência à startup alemã Changers cumpre o seguinte papel:
 

Provas

Questão presente nas seguintes provas