Foram encontradas 100 questões.
Óxidos são compostos em que o elemento mais eletronegativo é o oxigênio com número de oxidação total e igual a – 2 (Nox = – 2). De acordo com o comportamento dos óxidos frente a outras substâncias, eles podem ser classificados em: ácidos, básicos ou anfotéricos. Assinale a alternativa que apresenta um óxido ácido.
Provas
Sobre as ligações químicas, analise as afirmativas.
I. A característica principal das ligações iônicas é a grande diferença de eletronegatividade entre os átomos. Um átomo deve ter baixa energia de ionização e o outro uma elevada afinidade eletrônica.
II. A atração eletrostática entre os íons na ligação iônica é a força mais significativa da estabilização da ligação.
III. A baixa energia de ionização necessária para uma ligação iônica é característica dos metais. A alta energia de afinidade eletrônica, que também é necessária para uma ligação iônica, é uma característica dos elementos químicos não metálicos, que necessitam de um, dois ou três elétrons para completar suas camadas de valência.
Está(ão) correta(s) a(s) afirmativa(s)
Provas
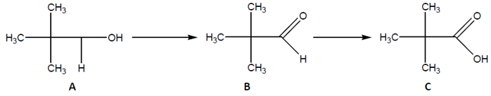
No laboratório de química orgânica são realizados, constantemente, diversos processos químicos. Analise os dois processos que representam duas reações orgânicas muito comuns:
Processo 1

Processo 2

Diante do exposto, é INCORRETO afirmar que o composto
Provas
O estudo da tabela periódica mostrou que um grande número de propriedades físicas e químicas variavam conforme a variação do número atômico dos elementos químicos. Estas propriedades são as chamadas propriedades periódicas.
Assinale a alternativa INCORRETA acerca das propriedades periódicas.
Provas
Sobre os ácidos inorgânicos, assinale a afirmativa INCORRETA.
Provas
As substâncias que, quando colocadas em água, liberam, exclusivamente, ânions OH–, classificam-se como bases de Arrhenius. Assinale a alternativa que contém apenas bases de Arrenhius.
Provas
Observe a estrutura a seguir, que representa o composto antibiótico conhecido como isopenicilina N, cuja estrutura química possui diversas funções orgânicas.

Assinale a alternativa que NÃO contém uma função orgânica representada na estrutura isopenicilina N.
Provas
Sobre as ligações químicas, analise as afirmativas.
I. Nas estruturas de Lewis, a ligação covalente resulta do compartilhamento de um par de elétrons entre dois átomos. Esse compartilhamento é uma característica particular das ligações encontradas na maioria das moléculas orgânicas.
II. Com o desenvolvimento da mecânica quântica, Linus Pauling introduziu o conceito de ressonância para explicar o tipo de situação, em que duas possíveis estruturas de Lewis coexistiriam sob a forma de estruturas ressonantes. Por exemplo, a representação das ligações no O3 é uma média de duas estruturas ressoantes possíveis.
III. Quando ocorre a ligação química pela transferência de elétrons de um átomo (que fica positivo) para outro átomo (que fica negativo), a ligação formada denomina-se ligação iônica.
Está(ão) correta(s) a(s) afirmativas
Provas
As propriedades físicas e químicas dos compostos orgânicos, como acidez, pontos de ebulição e fusão, entre outras, dependem de suas funções e estruturas. Analise as seguintes estruturas químicas dos compostos orgânicos.

Com base no exposto, assinale a afirmativa INCORRETA.
Provas
João disse: “Se eu acordo cedo, então eu não durmo de tarde.” Considerando que João mentiu, é correto afirmar que ele
Provas
Caderno Container