Foram encontradas 40 questões.
Abílio é mais novo que Gumercindo, que é mais velho do que Lico. Lico é mais velho que Juvenal, que é mais novo do que Nestor, que é mais velho do que Lico. Abílio é mais velho do que Nestor. A ordem decrescente das idades dos cinco é então:
Provas
Se todos os moradores de uma vila que trabalham vão para o trabalho de ônibus ou a pé então:
Provas
Observe a seqüência:
1A 3B 5C 7D O próximo termo é:Provas
AMORA está para AROMA assim como 15761 está para:
Provas
Se

Provas
As idades de Coutinho e Dorval são, ambas, números primos e a soma de suas idades é igual a 60.
Assinale o item que indica um valor possível para a diferença de idades entre ambos:Provas
Comi
de uma pizza; mais tarde, comi
do que restou. Ainda resta a seguinte fração da pizza:
Provas
Observe as frações:
![]()
Provas
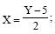
A professora pediu que Joca pensasse em um número X, multiplicasse-o por 2 e somasse 5 ao resultado, obtendo então um resultado Y, que Joca deveria informar aos colegas.
Conhecendo o valor de Y, a turma poderia então descobrir o número X, pensado por Joca, fazendo a seguinte conta:Provas
Dois carros saíram, em direções opostas, de um mesmo ponto de uma estrada reta. Depois de percorrer 23km, cada um deles fez a volta completa (180º) e percorreu 26km, retornando pela mesma estrada.
A distância final entre ambos, em km, é de:Provas
Caderno Container