Magna Concursos

Foram encontradas 120 questões.

3131198 Ano: 2023
Disciplina: Matemática
Banca: QUADRIX
Orgão: CRO-TO
Provas:

No estudo da matemática e programação, o triângulo de Floyd é um padrão triangular de números naturais. Inicia-se com o número 1 no topo e, em cada linha subsequente, preenche-se com números consecutivos. A primeira linha contém apenas 1 número, a segunda linha tem 2 números, a terceira tem 3 números e assim por diante. Como exemplo, as cinco primeiras linhas do triângulo de Floyd estão dispostas a seguir.

Enunciado 3486893-1

Selecionando um dos números das quatro primeiras linhas do triângulo de Floyd ao acaso, a probabilidade de ele ser primo é de 40%.
 

Provas

Questão presente nas seguintes provas
3131197 Ano: 2023
Disciplina: Matemática
Banca: QUADRIX
Orgão: CRO-TO
Provas:

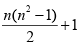
No estudo da matemática e programação, o triângulo de Floyd é um padrão triangular de números naturais. Inicia-se com o número 1 no topo e, em cada linha subsequente, preenche-se com números consecutivos. A primeira linha contém apenas 1 número, a segunda linha tem 2 números, a terceira tem 3 números e assim por diante. Como exemplo, as cinco primeiras linhas do triângulo de Floyd estão dispostas a seguir.

Enunciado 3486891-1

Com base nessas informações, julgue o item.

A soma dos números que ocupam a n-ésima linha do triângulo de Floyd é igual a Enunciado 3486891-2.

 

Provas

Questão presente nas seguintes provas
3131196 Ano: 2023
Disciplina: Raciocínio Lógico
Banca: QUADRIX
Orgão: CRO-TO
Provas:

No estudo da matemática e programação, o triângulo de Floyd é um padrão triangular de números naturais. Inicia-se com o número 1 no topo e, em cada linha subsequente, preenche-se com números consecutivos. A primeira linha contém apenas 1 número, a segunda linha tem 2 números, a terceira tem 3 números e assim por diante. Como exemplo, as cinco primeiras linhas do triângulo de Floyd estão dispostas a seguir.

Enunciado 3486890-1

Com base nessas informações, julgue o item.

O número 42 pode ser encontrado na nona linha do triângulo de Floyd.

 

Provas

Questão presente nas seguintes provas
3131195 Ano: 2023
Disciplina: Matemática
Banca: QUADRIX
Orgão: CRO-TO
Provas:

Um grupo de alienígenas está construindo dois tipos de pirâmides (tipo A e tipo B) em um planeta distante. Eles utilizam discos voadores para transportar os blocos de construção. Sabe-se que:

• 10 discos voadores constroem uma pirâmide do tipo A em 30 dias; e

• 8 discos voadores constroem uma pirâmide do tipo B em 24 dias

Com base nessa situação hipotética e considerando que os discos voadores desse grupo de alienígenas são igualmente eficientes, julgue o item.

Um grupo de 10 discos voadores constrói 16 pirâmides do tipo A utilizando o mesmo tempo que leva para construir 25 pirâmides do tipo B.

 

Provas

Questão presente nas seguintes provas
3131194 Ano: 2023
Disciplina: Matemática
Banca: QUADRIX
Orgão: CRO-TO
Provas:

Um grupo de alienígenas está construindo dois tipos de pirâmides (tipo A e tipo B) em um planeta distante. Eles utilizam discos voadores para transportar os blocos de construção. Sabe-se que:

• 10 discos voadores constroem uma pirâmide do tipo A em 30 dias; e

• 8 discos voadores constroem uma pirâmide do tipo B em 24 dias

Com base nessa situação hipotética e considerando que os discos voadores desse grupo de alienígenas são igualmente eficientes, julgue o item.

Para construir 4 pirâmides do tipo B em 32 dias, são necessários 25 discos voadores.

 

Provas

Questão presente nas seguintes provas
3131193 Ano: 2023
Disciplina: Matemática
Banca: QUADRIX
Orgão: CRO-TO
Provas:

Um grupo de alienígenas está construindo dois tipos de pirâmides (tipo A e tipo B) em um planeta distante. Eles utilizam discos voadores para transportar os blocos de construção. Sabe-se que:

• 10 discos voadores constroem uma pirâmide do tipo A em 30 dias; e

• 8 discos voadores constroem uma pirâmide do tipo B em 24 dias

Com base nessa situação hipotética e considerando que os discos voadores desse grupo de alienígenas são igualmente eficientes, julgue o item.

Para construir 2 pirâmides do tipo A com 20 discos voadores, são necessários 60 dias.

 

Provas

Questão presente nas seguintes provas
3131184 Ano: 2023
Disciplina: Português
Banca: QUADRIX
Orgão: CRO-TO
Provas:

Texto para o item.


A era do cuidado: uma nova mentalidade está brotando
Enunciado 3486843-1

Internet: <www.vidasimples.co> (com adaptações).

Quanto aos sentidos e aos aspectos linguísticos do texto, julgue o item.

A substituição do termo “condicionadas” (linha 3) por vinculadas não acarretaria prejuízo ao sentido original e à correção gramatical do texto.

 

Provas

Questão presente nas seguintes provas
3131183 Ano: 2023
Disciplina: Português
Banca: QUADRIX
Orgão: CRO-TO
Provas:

Texto para o item.


A era do cuidado: uma nova mentalidade está brotando
Enunciado 3486841-1

Internet: <www.vidasimples.co> (com adaptações).

Quanto aos sentidos e aos aspectos linguísticos do texto, julgue o item.

O pronome demonstrativo “Isso” (linha 7) retoma o fim da era dos resultados alcançados à base da pressão, pois sua consequência é a promoção de vínculos afetivos.

 

Provas

Questão presente nas seguintes provas
3131182 Ano: 2023
Disciplina: Português
Banca: QUADRIX
Orgão: CRO-TO
Provas:

Texto para o item.


A era do cuidado: uma nova mentalidade está brotando
Enunciado 3486839-1

Internet: <www.vidasimples.co> (com adaptações).

Quanto aos sentidos e aos aspectos linguísticos do texto, julgue o item.

A partir da leitura do texto, é correto afirmar que a mentalidade nova mencionada tem como uma de suas consequências o aumento da produtividade, mas refere-se não apenas ao campo profissional, como também refere-se às demais áreas da vida humana. A nova era supera as pressões e a busca incessante por recompensas materiais ao promover ambientes seguros, respeito e vínculos afetivos.

 

Provas

Questão presente nas seguintes provas
3131181 Ano: 2023
Disciplina: Português
Banca: QUADRIX
Orgão: CRO-TO
Provas:

Texto para o item.


A era do cuidado: uma nova mentalidade está brotando
Enunciado 3486835-1

Internet: <www.vidasimples.co> (com adaptações).

Quanto aos sentidos e aos aspectos linguísticos do texto, julgue o item.

A oração “em que as pessoas se sentem seguras” (linha 7) é coordenada à oração imediatamente anterior.

 

Provas

Questão presente nas seguintes provas