Foram encontradas 40 questões.
- Química OrgânicaFunções Oxigenadas: Cetona, Aldeído, Éter, Éster, Ácido Carboxílico etc.
- Química OrgânicaHidrocarbonetos
Considere a sequência de reações orgânicas abaixo:

A opção que corresponde aos compostos de (I) a (V), respectivamente, é:
Provas
- Química InorgânicaSoluções e Substâncias InorgânicasSubstâncias Inorgânicas: dissociação iônica e ionização, conceitos de ácido-base
A figura abaixo esquematiza o funcionamento de um aparelho de ionização que pode ser útil para medir baixas pressões compreendidas entre 10–4 e 10–10 mmHg. Nesse dispositivo, elétrons partem de um filamento aquecido, atravessam uma rede cuja tensão fixa a energia do elétron, e atingem uma região do tubo sonda ligada ao sistema de alto vácuo cuja pressão se deseja medir. Esses elétrons ionizam espécies neutras presentes no tubo e formam íons positivos que são atraídos por uma placa coletora negativa. Além disso, produzem uma corrente que pode ser medida e correlacionada com a pressão do sistema de vácuo. Portanto, quanto mais baixa a pressão, menor o número de moléculas neutras e, consequentemente, menor o número de íons positivos formados no tubo.

O gráfico abaixo relaciona as primeiras energias de ionização aos números atômicos dos respectivos elementos.

Um aparelho de ionização cuja energia eletrônica é 15 eV foi calibrado medindo-se a pressão de um sistema que continha vapor de sódio. Como a leitura do instrumento seria afetada se o vapor de sódio fosse substituído por neônio à mesma pressão?
Provas
Considere a representação da Tabela Periódica a seguir:

Com base nessa representação da tabela, avalie as asserções abaixo:

Assinale a alternativa que contém somente asserções corretas
Provas
Uma medida quantitativa da estabilidade de um composto sólido iônico é a sua energia de rede, definida como a energia requerida para decompor completamente 1 mol desse composto nos seus íons em fase gasosa. Considere os seguintes dados:
I. a entalpia padrão de formação do CaCl2 é - 790 kJ.mol?1 ;
II. a primeira energia de ionização do átomo de cálcio é 590 kJ.mol?1 ;
III. a segunda energia de ionização do átomo de cálcio é 1146 kJ.mol?1 ;
IV. a vaporização de um mol de Ca(s) consome 190 kJ;
V. a energia de ligação do Cl2 é 242 kJ.mol?1 ;
VI. a afinidade eletrônica do Cl é - 349 kJ.mol?1
Com base nessas informações, estima-se que a energia de rede do CaCl2, em kJ.mol?1 , seja:
Provas
O astrônomo britânico Arthur Eddington cunhou o termo “seta do tempo” para distinguir uma direção no tempo nos fenômenos naturais, ou seja, o fato de que o estado 2 de um sistema macroscópico ocorre após o estado 1. Podemos afirmar que o valor da entropia do estado 2 de um sistema fechado que evoluiu a partir do estado 1:
Provas
- Sistemas de EquilíbrioSistemas Homogêneos: Solubilidade dos Sais, Hidrólise dos Sais e Curvas de Titulação.
Assinale a alternativa correta.
Provas
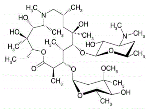
A azitromicina é um potente antibiótico comercial. Sua estrutura molecular está mostrada abaixo:

Considerando a estrutura acima, são feitas as seguintes afirmações:
I. Existem 2 átomos com hibridização sp2 .
II. A molécula possui 18 carbonos quirais.
III. Éster, amina e éter são funções orgânicas encontradas na molécula.
Com base na análise das afirmações acima, assinale a opção correta:
Provas
Uma liga de cobre e prata, isenta de impurezas, é colocada em um recipiente contendo uma solução de ácido sulfúrico e água bromada, de modo que o gás que se desprende durante a reação é integralmente absorvido pela água bromada. Após a dissolução completa da liga, adiciona-se uma solução aquosa de BaCl2. Findo o procedimento, observa-se um precipitado que deve ser composto predominantemente por:
Provas
- Química InorgânicaSoluções e Substâncias Inorgânicas
- Química InorgânicaReações Inorgânicas
- Teorias AtômicasTabela Periódica. Propriedades periódicas.
- Transformações Químicas e EnergiaRadioatividade
A respeito das reações abaixo:

Assinale a alternativa INCORRETA
Provas
Considere que a superfície da Lua seja bombardeada a cada segundo por cerca de 100 bilhões de átomos de hidrogênio por cm2 em função da ação do “vento solar”. Supondo que esse fluxo se mantenha constante, a massa aproximada de hidrogênio, que atingirá 1 cm2 da Lua nos próximos 5 milhões de anos será:
(Dado: NA = 6,0.1023)
Provas
Caderno Container