Magna Concursos

Foram encontradas 40 questões.

1536072 Ano: 2019
Disciplina: Física
Banca: IME
Orgão: Exército
enunciado 1536072-1
Em um experimento, uma fonte laser emite um pulso luminoso instantâneo, que é refletido por um espelho plano (MR), girando em velocidade angular constante ω . Um outro espelho fixo, côncavo e circular (MF), encontra-se acima da fonte laser, ambos localizados a uma distância L = 3 km de MR, conforme mostra a figura. O centro de curvatura (C) de MF localiza-se no ponto onde a luz do laser encontra MR e coincide com seu centro de rotação.
Dado:
• velocidade da luz: c = 3 x 108 m/s.
Observações:
• a posição de MR e MF são tais que o feixe consegue chegar a MF, pelo menos, duas vezes; e
• despreze o comprimento da fonte laser.
Para que o pulso luminoso seja refletido em MF pela 2ª vez, a um comprimento de arco Δ s = 30 cm do 1º ponto de reflexão, o valor de ω , em rad/s, é:
 

Provas

Questão presente nas seguintes provas
1536071 Ano: 2019
Disciplina: Física
Banca: IME
Orgão: Exército
Um indivíduo instalou uma fonte de luz monocromática linearmente polarizada na roda do seu carro, irradiando em direção ortogonal à roda e paralela ao solo. O veículo está em movimento retilíneo em velocidade constante. Um detector linearmente polarizado desloca-se, acompanhando o eixo da roda, na mesma velocidade e sentido do carro. O gráfico da intensidade luminosa (IL) captada pelo detector, em função do ângulo ( θ ), em graus, entre os planos de polarização da luz e do detector, é:
 

Provas

Questão presente nas seguintes provas
1536070 Ano: 2019
Disciplina: Física
Banca: IME
Orgão: Exército
enunciado 1536070-1
Um sistema mecânico, composto por um corpo de massa M conectado a uma mola, está inicialmente em equilíbrio mecânico e em repouso sobre uma superfície horizontal sem atrito, conforme mostra a figura. Um projétil esférico de massa m é disparado na direção horizontal contra a massa M, provocando um choque perfeitamente inelástico que inicia uma oscilação no sistema.
Dados:



M = 10 kg;
m = 2 kg;
• amplitude de oscilação do sistema = 0,4 m; e
• frequência angular = 2 rad/s
A velocidade do projétil antes do choque entre as massas M e m, em m/s, é:
 

Provas

Questão presente nas seguintes provas
1536069 Ano: 2019
Disciplina: Física
Banca: IME
Orgão: Exército

Uma fonte sonora de frequência f0 é arremessada verticalmente para cima, com velocidade inicial v0, de um ponto da superfície terrestre no qual a aceleração da gravidade é g.

Dados:


• aceleração da gravidade: g = 9,8 m/s2 ; e

• velocidade inicial da fonte sonora: v0 = 98 m/s.

Nota: despreze a resistência do ar e a variação da aceleração da gravidade com a altitude.

A frequência f percebida 10 segundos mais tarde por um observador estático situado no local do arremesso é tal que

 

Provas

Questão presente nas seguintes provas
1536068 Ano: 2019
Disciplina: Matemática
Banca: IME
Orgão: Exército
enunciado 1536068-1
 

Provas

Questão presente nas seguintes provas
1536066 Ano: 2019
Disciplina: Matemática
Banca: IME
Orgão: Exército

Um triângulo equilátero é projetado ortogonalmente em um plano, gerando um triângulo isósceles, cujo ângulo desigual mede 30º . O cosseno do ângulo do plano do triângulo equilátero com o plano de projeção é:

 

Provas

Questão presente nas seguintes provas
1536065 Ano: 2019
Disciplina: Matemática
Banca: IME
Orgão: Exército
O lugar geométrico definido pela equação x 2 + 3y 2 + 5 = 2x – xy – 4y representa
 

Provas

Questão presente nas seguintes provas
1536064 Ano: 2019
Disciplina: Matemática
Banca: IME
Orgão: Exército
Todos os arcos entre 0 e 2 π radianos que satisfazem a desigualdade
enunciado 1536064-1
estão compreendidos entre:
 

Provas

Questão presente nas seguintes provas
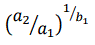
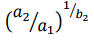
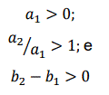
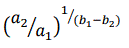
1536063 Ano: 2019
Disciplina: Matemática
Banca: IME
Orgão: Exército
enunciado 1536063-1
enunciado 1536063-2
enunciado 1536063-3
 

Provas

Questão presente nas seguintes provas
1536062 Ano: 2019
Disciplina: Matemática
Banca: IME
Orgão: Exército

Diversos modelos de placas de identificação de veículos já foram adotados no Brasil. Considere os seguintes modelos de placas e a descrição de sua composição alfanumérica:

Modelo 1: AB123 (duas letras seguidas de três números)

Modelo 2: AB1234 (duas letras seguidas de quatro números)

Modelo 3: ABC1234 (três letras seguidas de quatro números)

Modelo 4: ABC1D23 (três letras seguidas de um número, uma letra e dois números)

Sejam c1, c2, c3 e c4 as quantidades das combinações alfanuméricas possíveis para os modelos 1, 2, 3 e 4, respectivamente. Os números c1, c2, c3 e c4 são termos de uma progressão aritmética com infinitos termos com a maior razão possível. A soma dos algarismos da razão dessa progressão é:

Observação:

• considere o alfabeto com 26 letras.

 

Provas

Questão presente nas seguintes provas