Foram encontradas 35 questões.
O Filo dos Artrópodes é constituído por animais invertebrados, organizados em várias classes. Entre elas, a classe dos Insetos, cujos representantes são de importância fundamental nas cadeias alimentares. Como exemplo tem-se: joaninhas que se alimentam de pulgões, ácaros, moscas brancas, etc.; pulgões que se alimentam da seiva das plantas; pulgas e piolhos que se alimentam de sangue. Os exemplos citados indicam relações ecológicas, respectivamente, do tipo
Provas
Desde os tempos mais antigos, os fungos fazem parte da vida do ser humano. Além de desempenharem importante papel no equilíbrio da natureza, de forma muito especial, esses organismos têm sido fonte de medicamentos, de alimentos, utilizados em indústrias de bebidas, de panificação, entre outras utilidades. Desse modo, a humanidade tem aproveitado as diversas utilidades procedentes desses organismos, como na
Provas
Condições ambientais precárias, abastecimento de água insuficiente e sistemas de esgoto inadequados são frequentemente citados como os maiores obstáculos para o controle do aumento de surtos de cólera, doença bacteriana infecciosa intestinal. Essa ausência de saneamento básico contribui para a propagação da doença. Para reduzir o impacto da infecção citada, algumas medidas são indicadas, como
I. lavar rigorosamente verduras, frutas e legumes que sejam ingeridos crus;
II. ingerir água fervida ou clorada e alimentos rigorosamente protegidos do pouso de moscas;
III. consumir peixes e mariscos crus ou mal cozidos porque as águas do litoral não correm o risco de serem infectadas;
IV. manter uma rigorosa higiene pessoal, como lavar as mãos antes das refeições e do preparo dos alimentos;
V. cumprir rigorosamente o calendário de vacinação, uma vez que as vacinas combatem a infecção.
Os itens que contêm as afirmativas corretas são
Provas
O ser humano, inspirando e expirando, em repouso, troca com o ambiente cerca de cinco litros de ar por minuto. Porém, durante a prática de exercício físico, essa quantidade pode aumentar devido à grande atividade das células, que exige mais oxigênio para a respiração celular e fornecimento de energia ao organismo. Para a realização desses movimentos respiratórios, são envolvidos músculos que trabalham de forma integrada, de modo que, na
Provas
Compostos orgânicos como os carboidratos são de fundamental importância ao nosso organismo, pois fornecem energia a todas as células, aos processos metabólicos e às demais atividades vitais, como os processos de ação enzimática. Numa refeição à base de pão francês; farinha de tapioca, usada também para fazer beiju; macaxeira; mingau de farinha de mandioca; entre outros, o indivíduo desenvolve uma digestão mais lenta porque o tipo de carboidrato encontrado nesses alimentos é a(o)
Provas
A concentração, expressa em mol L-1, de uma solução de ácido nítrico (HNO3) concentrado, contendo 70% em peso de ácido puro, é aproximadamente Dados: Massas molares (g mol-1): H = 1; N = 14; O = 16 Densidade: d (HNO3) = 1,42 g cm-3
Provas
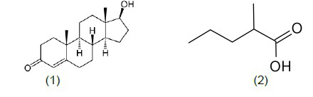
As funções orgânicas presentes na molécula do composto (1) e a nomenclatura do composto (2), são, respectivamente,

Provas
A equação química que representa a reação de combustão do estireno em um calorímetro é, C8H8 (l) + 10 O2(g) !$ → !$ 8 CO2(g) + 4 H2O(l). Com base nesta equação química e utilizando os dados da tabela abaixo, obtidos a 25ºC e 1 atm, tem-se que o valor da variação de entalpia na reação de combustão do estireno será
| Substância | Entalpia de formação (kJ mol-1) |
| C8H8 (l ) | + 103,8 |
| CO2 (g) | — 393,5 |
| H2O (l ) | — 285,8 |
Provas
A soma dos coeficientes que equilibram corretamente a equação química abaixo é igual a FeCl3 + NaOH-----> Fe(OH)3 + NaCl
Provas
O número de nêutrons existentes em um átomo de germânio (Ge), cujo número de massa é 72, é igual a Dado: Ge (Z = 32).
Provas
Caderno Container