Foram encontradas 60 questões.
Leia o estudo de caso e responda a questão.
O Instituto de Previdência de um município está organizando um seminário sobre planejamento de aposentadoria para seus contribuintes. O seminário visa educar os participantes sobre as diferentes opções de investimento disponíveis, estratégias para maximizar os benefícios da aposentadoria e como planejar para uma aposentadoria financeiramente segura. O evento será dividido em três sessões paralelas, cada uma abordando um tema específico: (1) Investimentos para a Aposentadoria, (2) Gerenciamento de Patrimônio e (3) Planejamento Fiscal para Aposentados. Os participantes podem escolher assistir a uma sessão de cada vez, com um total de 120 participantes esperados para o seminário. Além disso, ao final do evento, será realizado um sorteio de 3 livros sobre planejamento financeiro para a aposentadoria entre os participantes
Provas
Leia o estudo de caso e responda a questão.
O Instituto de Previdência de um município está organizando um seminário sobre planejamento de aposentadoria para seus contribuintes. O seminário visa educar os participantes sobre as diferentes opções de investimento disponíveis, estratégias para maximizar os benefícios da aposentadoria e como planejar para uma aposentadoria financeiramente segura. O evento será dividido em três sessões paralelas, cada uma abordando um tema específico: (1) Investimentos para a Aposentadoria, (2) Gerenciamento de Patrimônio e (3) Planejamento Fiscal para Aposentados. Os participantes podem escolher assistir a uma sessão de cada vez, com um total de 120 participantes esperados para o seminário. Além disso, ao final do evento, será realizado um sorteio de 3 livros sobre planejamento financeiro para a aposentadoria entre os participantes
Provas
Provas

É correto afirmar que o gráfico acima corresponde a uma função:
Provas
I. Todo número decimal finito é um número racional.
II. Todo número decimal periódico é um número racional.
III. Todo número decimal infinito é um número irracional.
IV. A raiz quadrada de 2 é um número irracional.
V. O número pi (π) é um número irracional.
O quantitativo de afirmativas corretas corresponde a:
Provas
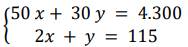
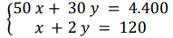
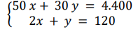
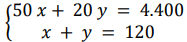
A ONG "Ajuda Compartilhada" está organizando dois eventos sociais, um jantar beneficente e uma maratona de arrecadação. Para ambos os eventos, estão sendo arrecadados fundos em dinheiro e doações de cestas básicas. No jantar beneficente, cada ingresso vendido resulta na arrecadação de R$50,00 e na doação de 2 cestas básicas. Na maratona de arrecadação, cada participante inscrito contribui com R$30,00 e 1 cesta básica. Ao final dos eventos, a ONG arrecadou um total de R$4.400,00 e recebeu 120 cestas básicas. Se x representa o número de ingressos vendidos para o jantar beneficente e y representa o número de inscrições na maratona de arrecadação, qual o sistema de equações que representa a situação descrita?
Provas
Provas
Provas
Provas
Leia o texto e responda a questão.
O trecho a seguir foi retirado da obra “Dom Casmurro”, um clássico de Machado de Assis e um dos principais romances da literatura brasileira. O narrador é Bentinho, o advogado Bento Santiago, que desconfia da relação entre sua esposa Capitu e seu amigo Escobar. O trecho trata da despedida deste último, casado com a personagem Sancha.
OLHOS DE RESSACA
Enfim, chegou a hora da encomendação e da partida. Sancha quis despedir-se do marido, e o desespero daquele lance consternou a todos. Muitos homens choravam também, as mulheres todas. Só Capitu, amparando a viúva, parecia vencer-se a si mesma. Consolava a outra, queria arrancá-la dali. A confusão era geral. No meio dela, Capitu olhou alguns instantes para o cadáver tão fixa, tão apaixonadamente fixa, que não admira lhe saltassem algumas lágrimas poucas e caladas.
As minhas cessaram logo. Fiquei a ver as dela; Capitu enxugou-as depressa, olhando a furto para a gente que estava na sala. Redobrou de carícias para a amiga, e quis levá-la; mas o cadáver parece que a retinha também. Momento houve em que os olhos de Capitu fitaram o defunto, quais os da viúva, sem o pranto nem palavras desta, mas grandes e abertos, como a vaga do mar lá fora, como se quisesse tragar também o nadador da manhã.
ASSIS, Machado de. Dom Casmurro.
Provas
Caderno Container