Foram encontradas 240 questões.
Os produtos para saúde, depois de submetidos à limpeza e inspeção da sua integridade, devem ser empacotados ou embalados. Essas embalagens possuem características específicas. Considere as características abaixo.
I - Prover adequada barreira a partículas de sujeira que possam carregar microrganismos.
II - Permitir a penetração do agente esterilizante, possibilitando o contato com o conteúdo do pacote.
III - Ser livre de ingredientes tóxicos e não eliminar resíduos durante o processo de esterilização.
Quais são exigidas para embalagens utilizadas no CME?
Provas
Questão presente nas seguintes provas
Na cisternografia radioisotópica, o diagnóstico de Hidrocefalia de Pressão Normal pode ser sugerido com base na distribuição e absorção do radiofármaco em sua ascensão pelos espaços liquóricos após injeção no espaço subaracnoideo lombar.
Qual o padrão de imagem esperado nessa condição?
Provas
Questão presente nas seguintes provas
Observe as afirmações abaixo no que se refere às dependências do Serviço de Medicina Nuclear.
I - Devem ser devidamente classificadas de acordo com as resoluções da CNEN e devem ser visivelmente identificadas.
II - Devem ter acesso livre.
III - Devem ter blindagem suficiente para manter, nas áreas externas às supervisionadas ou controladas do Serviço de Medicina Nuclear, os níveis de dose para indivíduos do público dentro dos limites estabelecidos pelas Resoluções da CNEN.
IV - Devem ter blindagem suficiente para manter, nas instalações do Serviço de Medicina Nuclear, os níveis de dose para indivíduos ocupacionalmente expostos dentro dos níveis operacionais estabelecidos pelas Resoluções da CNEN.
Considerando a norma NN-3.05, da CNEN, quais estão corretas?
Provas
Questão presente nas seguintes provas
São tumores potencialmente captantes de Gálio-67, EXCETO
Provas
Questão presente nas seguintes provas
De acordo com a RDC nº 15, de 15 de março de 2012, em relação ao sistema de climatização da sala de preparo e esterilização do CME classe II, podemos afirmar que
Provas
Questão presente nas seguintes provas
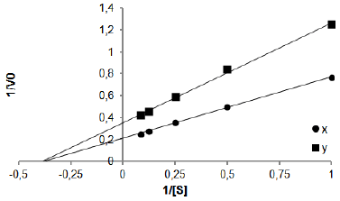
O gráfico abaixo representa o comportamento de uma enzima em dois momentos experimentais diferentes (com ou sem inibição).

Qual das opções abaixo melhor explica este gráfico?
Provas
Questão presente nas seguintes provas
Em relação à cintilografia com Gálio-67, assinale a alternativa INCORRETA.
Provas
Questão presente nas seguintes provas
O trabalho em laboratórios de pesquisa biomédica e biotérios requer a utilização e o contato com substâncias químicas, patógenos e alérgenos potencialmente perigosos para a saúde das pessoas envolvidas, para as instalações e para os próprios animais experimentais. Assinale a alternativa correta com relação aos procedimentos de biossegurança recomendados para esses estabelecimentos.
Provas
Questão presente nas seguintes provas
Numere a segunda coluna de acordo com a primeira, associando cada termo cirúrgico à sua respectiva definição.
(1) Biópsia
(2) Dissecção
(3) Exérese
(4) Enxerto
( ) Inserção de material autógeno, homólogo, heterólogo ou sintético para correção de defeito em tecido ou órgão.
( ) Extração de parte de tecidos vivos microscópicos com finalidade diagnóstica.
( ) Extirpação total ou parcial de um segmento corpóreo, retirada de um tecido, órgão, tumor ou cisto.
( ) Isolamento de um órgão ou estrutura por meio cirúrgico.
A ordem correta dos números da segunda coluna, de cima para baixo, é
Provas
Questão presente nas seguintes provas
O contato pele a pele entre a mãe e o recém-nascido é uma prática recomendada devido aos seguintes benefícios, EXCETO
Provas
Questão presente nas seguintes provas
Cadernos
Caderno Container