Magna Concursos

Foram encontradas 480 questões.

2759796 Ano: 2021
Disciplina: Física
Banca: IF-SUL
Orgão: IF-SUL
Provas:
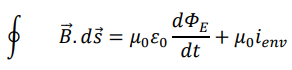
Um determinado circuito elétrico apresenta um capacitor de placas paralelas com raio de 10cm, ligado a uma fonte de força eletromotriz alternada com Enunciado 3547763-1 = 127 V, sendo que a fem é dada por Enunciado 3547763-2, onde Enunciado 3547763-3 = 377 rad/s, conforme a figura abaixo. Enunciado 3547763-4
A equação que estabelece a corrente de deslocamento no capacitor está associada a uma das equações de Maxwell, mais especificamente à lei de Ampère-Maxwell.
Enunciado 3547763-5
Sendo que Enunciado 3547763-6 = 8,85 x 10-12F/m e Enunciado 3547763-7 = 1,257 x 10-6H/m sabendo-se que o valor máximo de variação do fluxo elétrico com o tempo vale Enunciado 3547763-8 = 0,12 x 106V.m/s, o valor máximo da corrente de deslocamento é de
 

Provas

Questão presente nas seguintes provas
2759795 Ano: 2021
Disciplina: Física
Banca: IF-SUL
Orgão: IF-SUL
Provas:

A figura ao lado representa um Campo Magnético perpendicular ao plano da página e um anel condutor situado no plano. O Fluxo magnético que atravessa o anel é crescente com o tempo e obedece à expressão Enunciado 3547762-1, sendo que Enunciado 3547762-2 é medido em miliwebers e t, em segundos.

Enunciado 3547762-3

O módulo da Força Eletromotriz induzida no anel, quando t = 3,0 s, e o sentido da corrente elétrica induzida são, respectivamente,

 

Provas

Questão presente nas seguintes provas
2759794 Ano: 2021
Disciplina: Física
Banca: IF-SUL
Orgão: IF-SUL
Provas:
.Uma haste de cobre mede 1 m de comprimento e está em repouso sobre uma mesa sem atrito. A haste é percorrida por uma intensidade de corrente elétrica de 10 A. Na região, existe um campo magnético resultante de 0,2 T, orientado perpendicularmente ao plano da mesa feita de material isolante, conforme indicado na figura ao lado. Cada extremidade da haste está presa a um fio (rígido e inextensível) por uma mola de material condutor, distendida em relação a sua posição de equilíbrio, cuja constante elástica é igual a k = 50 N/m.
Enunciado 3547761-1

O sentido da corrente elétrica e a distensão da mola, em cada extremidade da haste, em relação a sua posição de equilíbrio, são, respectivamente, da
 

Provas

Questão presente nas seguintes provas
2759793 Ano: 2021
Disciplina: Física
Banca: IF-SUL
Orgão: IF-SUL
Provas:
O circuito da figura ao lado mostra três resistores, um capacitor e um gerador real. Quando a chave K do circuito está fechada, o capacitor armazena uma carga elétrica Q = 12 pC. Enunciado 3547760-1
Qual a nova carga do capacitor quando a chave K for aberta?
 

Provas

Questão presente nas seguintes provas
2759792 Ano: 2021
Disciplina: Física
Banca: IF-SUL
Orgão: IF-SUL
Provas:
Um fio condutor ôhmico cilíndrico possui uma resistência R.
Caso seu comprimento seja quadruplicado e seu diâmetro seja reduzido pela metade, o valor da sua nova resistência será de
 

Provas

Questão presente nas seguintes provas
2759791 Ano: 2021
Disciplina: Física
Banca: IF-SUL
Orgão: IF-SUL
Provas:
Considere o circuito e os valores representados no esquema ao lado. Enunciado 3547758-1
O valor da diferença de potencial entre os pontos a e b e a potência dissipada pelo resistor de 4,00 Ω são, respectivamente,
 

Provas

Questão presente nas seguintes provas
2759790 Ano: 2021
Disciplina: Física
Banca: IF-SUL
Orgão: IF-SUL
Provas:
Um anel de plástico tem raio de 10 cm e está carregado eletricamente com densidade de carga linear de Enunciado 3547757-1, conforme figura a seguir:
Enunciado 3547757-2
Adaptada de: HALLIDAY, D.; RESNICK, R.: WALKER, T., Fundamentos de Física. V.3, São Paulo: LTC,2009.
Utilizando-se 2 algarismos significativos para os cálculos, qual o valor do campo elétrico num ponto P situado sobre o eixo Enunciado 3547757-3, distante 10 cm do centro do anel, conforme indicado na figura?
 

Provas

Questão presente nas seguintes provas
2759788 Ano: 2021
Disciplina: Física
Banca: IF-SUL
Orgão: IF-SUL
Provas:
A controvérsia entre as teorias corpuscular e ondulatória da luz surgiu entre os filósofos gregos e se manteve no século XVII com as disputas entre a teoria corpuscular de Isaac Newton e a ondulatória de Christiaan Huygens. Em 1801, Thomas Young expôs à Royal Society, na Inglaterra, um trabalho, no qual demonstrava experimentalmente a interferência da luz.
O que esse experimento mostrou em relação à interferência da Luz?
 

Provas

Questão presente nas seguintes provas
2759787 Ano: 2021
Disciplina: Física
Banca: IF-SUL
Orgão: IF-SUL
Provas:
Uma lente esférica de vidro, cujo índice de refração é 1,5, tem uma face convexa de 20 cm de raio e outra côncava de 40 cm de raio.
O comportamento óptico e a distância focal dessa lente são, respectivamente
 

Provas

Questão presente nas seguintes provas
2759786 Ano: 2021
Disciplina: Física
Banca: IF-SUL
Orgão: IF-SUL
Provas:
Considere uma película de material transparente, de índice de refração 1,38, imerso no are cujas faces são paralelas.
A espessura mínima desta película, para que se apresente brilhante por luz refletida, eescura, por luz transmitida, ao ser iluminada por luz monocromática de comprimento deonda λ = 5,52 • 10-7m no ar, é
 

Provas

Questão presente nas seguintes provas