Foram encontradas 2.276 questões.

A figura acima mostra os diagramas de comando e de força de um motor de indução trifásico de uma instalação elétrica. O motor é utilizado para bombear água de um reservatório inferior para um outro superior. O circuito de comando é convenientemente ligado entre duas das fases do ramal de alimentação do motor, conforme indicado na figura. Com base nesse diagrama, julgue o item que se segue.
O motor é desligado sempre que o reservatório superior encher.
Provas

Richard J. Fowler, Eletricidade – princípios e aplicações.
Makron Books/McGraw-Hill, Vol. 1, 1992, p. 92.
O multímetro analógico volt-ohm-miliamperímetro (VOM) ilustrado na figura acima dispõe de algumas funções com escalas diferentes. A escala do medidor depende da função e do alcance selecionado.
Com relação a esse medidor, julgue o item que se segue.
Nesse medidor, a leitura da medida de resistências ocorre em uma escala reversa (da direita para a esquerda) do tipo nãolinear, ao contrário das escalas das grandezas tensão e corrente.
Provas

A figura acima mostra um circuito monofásico, alimentado por fonte de tensão senoidal, cuja freqüência é igual a 60 Hz. Três instrumentos ideais são adequadamente inseridos no circuito para medir a tensão, a corrente e a potência ativa consumida pela carga. Os valores de tensão e corrente são eficazes, enquanto o valor de potência é uma grandeza média. Para determinada condição de operação, os valores das leituras desses instrumentos são: 200 V, 10 A e 800 W. Com relação à indicação dos instrumentos e aos elementos de circuito, julgue os itens subseqüentes.
Na situação mostrada, se a freqüência da fonte for alterada para 50 Hz, e a resistência e a indutância da carga forem mantidas, somente a leitura do voltímetro não será modificada.
Provas
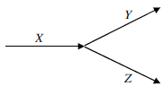
A respeito do método CPM, julgue o item subseqüente.
A figura abaixo mostra um diagrama de flechas em que a operação X só se inicia se as operações Y e Z terminarem.

Provas
Para favorecer a eficiência, é essencial dispor de técnicas que possibilitem planejar, controlar e coordenar projetos de naturezas diversas. O modelo PERT-CPM corresponde a uma técnica voltada para esse objetivo. A respeito desse modelo, julgue o item a seguir.
PERT é uma técnica que possui representação gráfica.
Provas
Os amplificadores operacionais são circuitos integrados dedicados para aplicações em eletrônica analógica linear e não-linear. O amplificador operacional ideal apresenta em seu modelo uma série de características que se procurou atender no dispositivo real. As características dos amplificadores operacionais incluem
impedância de entrada infinita.
Provas
Um circuito em série, contendo um resistor de 10 !$ \Omega !$, um indutor com indutância de 50 mH e um capacitor cuja capacitância é igual a 1 mF, é alimentado por uma fonte de tensão senoidal de valor eficaz desconhecido e cuja freqüência é igual a !$ \dfrac{100}{2\pi} !$ Hz. Em relação a esse circuito, julgue o item a seguir.
Se um voltímetro para corrente alternada for usado para medir a tensão eficaz nos terminais do capacitor, a leitura será idêntica à obtida nos terminais do resistor.
Provas
Julgue o item que se segue, relativos à proteção de sistemas elétricos industriais.
Três das principais características nominais de um disjuntor de baixa tensão são corrente nominal, tensão nominal e capacidade nominal de interrupção de curto-circuito.
Provas
Um circuito em série, contendo um resistor de 10 !$ \Omega !$, um indutor com indutância de 50 mH e um capacitor cuja capacitância é igual a 1 mF, é alimentado por uma fonte de tensão senoidal de valor eficaz desconhecido e cuja freqüência é igual a !$ \dfrac{100}{2\pi} !$ Hz. Em relação a esse circuito, julgue o item a seguir.
A impedância equivalente desse circuito apresenta reatância indutiva.
Provas
Provas
Caderno Container