Foram encontradas 513 questões.
A vacinação é a melhor maneira de proteger a criança contra doenças imunopreveníveis, e as vacinas disponibilizadas no Sistema Único de Saúde (SUS) são seguras e de vital importância para proteção contra algumas doenças graves e muitas vezes fatais. De acordo com o Calendário nacional de Vacinação, a vacina que protege contra formas graves da tuberculose, indicada em dose única ao nascer, é:
Provas
Questão presente nas seguintes provas
A cicatrização de feridas é um processo fisiológico que envolve eventos físicos, químicos e celulares para substituir e restaurar o tecido danificado. Considerando um atendimento na Atenção Básica à Saúde para retirada de pontos após cirurgia de apendicectomia, o profissional de saúde deve compreender que a cicatrização desta ferida se deu por:
Provas
Questão presente nas seguintes provas
As infecções relacionadas à assistência à saúde (Iras) são um dos eventos adversos mais frequentes associados à assistência à saúde e um grave problema de saúde pública. Destaca-se a higiene das mãos como uma das estratégias mais eficazes na prevenção das Iras. De acordo com as recomendações da Organização Pan-Americana da Saúde (2017) sobre a higiene das mãos, assinale a alternativa CORRETA.
Provas
Questão presente nas seguintes provas
Ao longo da implementação do Sistema Único de Saúde (SUS), muitos avanços e desafios foram vivenciados. Para superar as dificuldades encontradas, os gestores do SUS assumiram um compromisso público da construção do Pacto pela Saúde, instituído por meio da Portaria/GM nº 399 em 2006, que contempla o Pacto em três dimensões:
Provas
Questão presente nas seguintes provas
A Lei nº 8.142/90 dispõe sobre a participação da comunidade na gestão do Sistema Único de Saúde (SUS), por meio do Conselho de Saúde e da Conferência de Saúde. A Conferência de Saúde deve avaliar a situação de saúde e propor as diretrizes para a formulação da política de saúde, reunindo-se com a representação de vários seguimentos sociais, a cada:
Provas
Questão presente nas seguintes provas
A Constituição de 1988 criou fontes para sustentar o projeto político de estender a todos os brasileiros o direito à saúde, que ocorreu em 1990, com a criação do Sistema Único de Saúde. Atualmente, em torno de 70% da população utiliza o SUS. Sendo assim, de acordo com o Art. 31 da Lei nº 8.080/90, a principal fonte de financiamento do Sistema Único de Saúde provém do(a):
Provas
Questão presente nas seguintes provas
Em uma roleta, há 40 espaços numerados de 1 a 40. Ao girar essa roleta, qual é a probabilidade de sortear um número com algarismo 4?
Provas
Questão presente nas seguintes provas
3073074
Ano: 2024
Disciplina: Matemática Financeira
Banca: FAUEL
Orgão: Pref. Cândido Abreu-PR
Disciplina: Matemática Financeira
Banca: FAUEL
Orgão: Pref. Cândido Abreu-PR
Provas:
Por quanto tempo uma aplicação de R$ 3.800,00 a uma taxa de juros simples de 1,2% a.m. renderá R$ 912,00?
Provas
Questão presente nas seguintes provas
- FundamentosPotenciação e RadiciaçãoRadiciação
- FundamentosPotenciação e RadiciaçãoPotenciação
- Álgebra
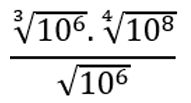
Assinale a alternativa que apresenta um número igual a:

Provas
Questão presente nas seguintes provas
- FundamentosPotenciação e RadiciaçãoRadiciação
- FundamentosPotenciação e RadiciaçãoPotenciação
- Álgebra
As duas raízes de uma equação do segundo grau são a e b, tais que: a - 2/5 = a - 6 e 2(b + 3) = b + 2.
Assinale a alternativa que apresenta essa equação do segundo grau.
Assinale a alternativa que apresenta essa equação do segundo grau.
Provas
Questão presente nas seguintes provas
Cadernos
Caderno Container